EasyManua.ls Logo

Fostex RD-8 - Locating a Cue

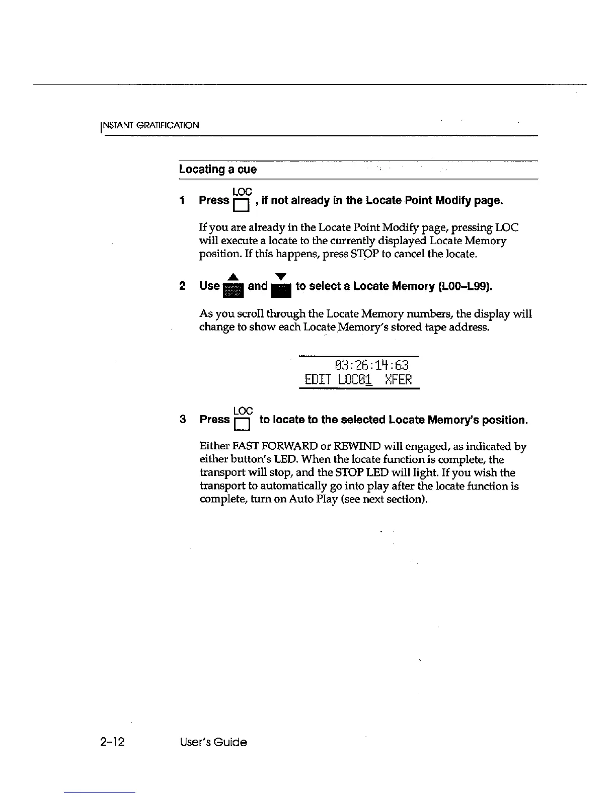
Fostex RD-8
238 pages
Print Icon
To Next Page IconTo Next Page
To Next Page IconTo Next Page
To Previous Page IconTo Previous Page
To Previous Page IconTo Previous Page
Loading...

Table of Contents

Other manuals for Fostex RD-8

Related product manuals