EasyManua.ls Logo

Fujitsu ASU 9RLF1 - 4. Auto Changeover Operation

Fujitsu ASU 9RLF1
61 pages
Print Icon
To Next Page IconTo Next Page
To Next Page IconTo Next Page
To Previous Page IconTo Previous Page
To Previous Page IconTo Previous Page
Loading...
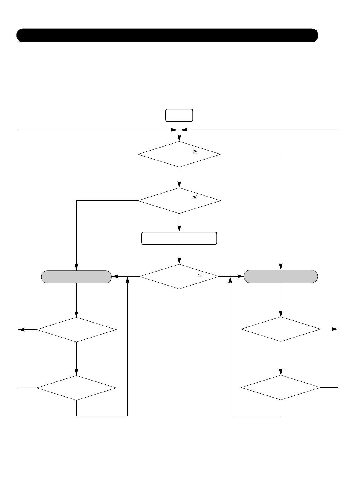
4. AUTO CHANGEOVER OPERATION
01-03
(Fig3 : Operation flow chart)
When the air conditioner is set to the AUTO mode by remote control, operation starts in the optimum
mode from among the HEATING, COOLING, DRY and MONITORING modes. During operation, the
optimum mode is automatically switched in accordance with temperature changes. The temperature
can be set between 64°F(18°C) and 88°F(30°C) in 2°F(1°C) steps.
START
Room temp.
Ts+4°F(2°C)?
COOLING (AUTO:DRY)
OPERATION
HEATING OPERATION
YES
YES
NO
NO
NO
TS : Setting temperature
Room temp.
Ts- 4°F(2°C)?
Thermostat remains
in OFF state for 6 minutes or
longer?
System stops
or operation command other than
auto changeover operation?
NO
Thermostat remains
in OFF state for 6 minutes or
longer?
System stops
or operation command other than
auto changeover operation?
Middle zone
YES
NO
YES
Outdoor temperature
77°F(25°C)?
NO
YES
YES
NO
YES

Related product manuals