EasyManua.ls Logo

Gemu F40 - 6 Technical Data

Gemu F40
24 pages
Print Icon
To Next Page IconTo Next Page
To Next Page IconTo Next Page
To Previous Page IconTo Previous Page
To Previous Page IconTo Previous Page
Loading...
6 Technical data
6.1 Medium
Working medium:
Corrosive, inert, gaseous and liquid media which have no negative impact on the physical and
chemical properties of the body and diaphragm material.
Control medium:
Inert gases
6.2 Temperature
Media temperature:
-10 to 140 °C
Sterilisation temperature:
Hot water max. 4 bar at 140 °C, max. 60 min
Steam max. 2 bar at 140 °C, max. 60 min
Control medium
temperature:
max. 60 °C
Ambient temperature:
-10 to 60 °C
Storage temperature:
0 to 40 °C
6.3 Pressure
Operating pressure:
C.f. 1 over the seat max. 7 bar (1 2)
C.f. 1 under the seat max. 6 bar (2 1)
C.f.2 max. 7 bar
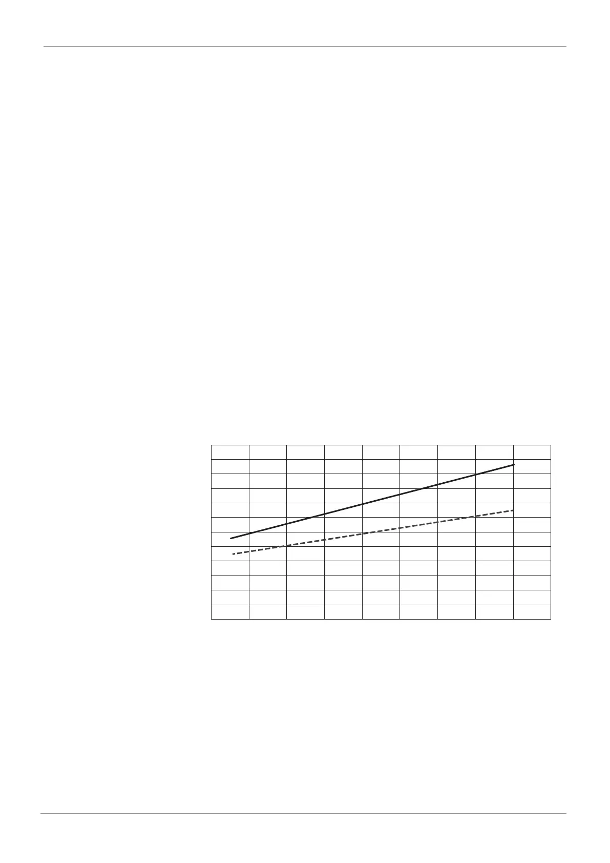
Control pressure:
C.f. 1 6 to 7 bar
C.f.2 max. 6 bar
Control pressure – Operating pressure characteristic
0123456789
6
5.5
5
4.5
4
3.5
3
2.5
2
1.5
1
0.5
0
Control pressure [bar]
Operating pressure [bar]
Flow direction
under the seat
Flow direction
over the seat
Filling volume:
C.f. 1 0.017 dm³
C.f.2 0.010 dm³
www.gemu-group.com
8 / 24
GEMÜ F40
6 Technical data

Related product manuals