EasyManua.ls Logo

Haier AB28NACBEA - 1) Turn on;off unit

Haier AB28NACBEA
136 pages
Print Icon
To Next Page IconTo Next Page
To Next Page IconTo Next Page
To Previous Page IconTo Previous Page
To Previous Page IconTo Previous Page
Loading...
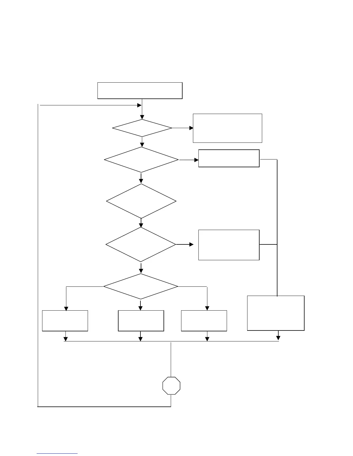
9.Electrical Control Functions
Flow Chart for Operation
1) Turn on/off unit
On/of
f
Trouble
Mode
determinati
Heating
operation
Cooling
operation
Fan motor turn off,
electronic expansion
valve close, louve
r
motor turn off
Dehumidifying
operation
A
Power indicator turn off,
operation indicator turn
off
Trouble indication
A
bnormal
o
p
eration
Chose mode
Buzzer sound twice,
refuse to receive
signal
No
Ye
Off
Ye
On
Off
Control function treat module
-45-

Related product manuals