EasyManua.ls Logo

Haier BKD45W - Trouble Shooting

Haier BKD45W
25 pages
Print Icon
To Next Page IconTo Next Page
To Next Page IconTo Next Page
To Previous Page IconTo Previous Page
To Previous Page IconTo Previous Page
Loading...
Maintenances Services and Trouble Shooting
11.1Maintenances Services
It may occur that the dishwasher does not function or does not function properly.Before
calling for assistance,Iet us see what can be done first:have you forgotten to press one of the
buttons or to perfom an essential operation?
11.2 Trouble Shooting
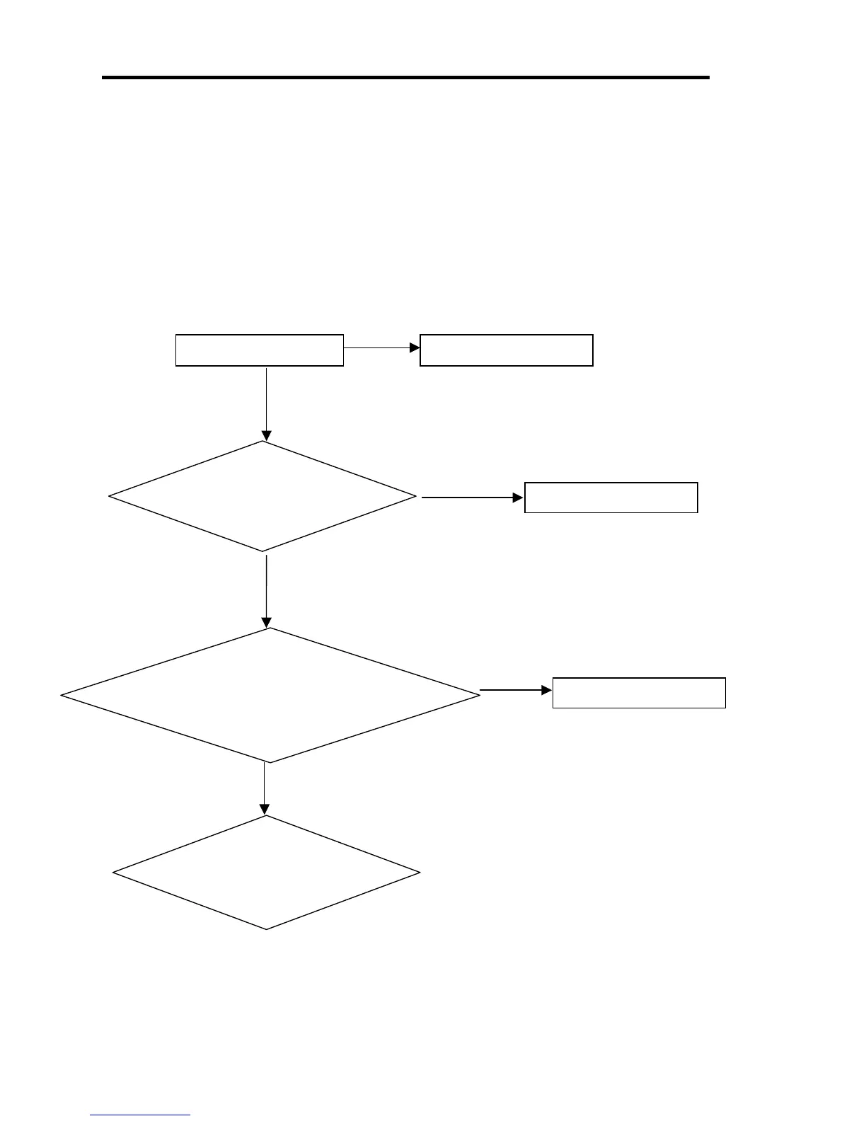
analysis of the common breakdowns
Door switch trouble
Dismantle the door case and using
avometer to measure if the two
terminals of door switch is on.
N
Close the door Whether door is closed
Y
check if door flap is OK
N
Replace it
Y
N
Change the door switch
Y
Cable or program controller
is broken

Related product manuals