EasyManua.ls Logo

Hisense MT5659DUHT - TV Wont Power on

Hisense MT5659DUHT
50 pages
Print Icon
To Next Page IconTo Next Page
To Next Page IconTo Next Page
To Previous Page IconTo Previous Page
To Previous Page IconTo Previous Page
Loading...
- 34 -
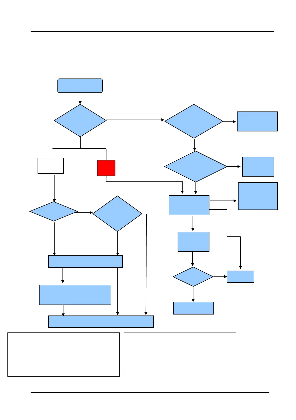
5.3 TV won’t Power On
Make Sure Power
source is live
Replace
Power Cord
Check/replace IR
BD or Keypad
PCA
TV won’t power on
Is LED
light?
NO
YES
Check Power
Output
YES
NO
Check Power
Cord
Only
one works
Replace Main
BD
Try Power on by
RC and Button
Neither
works
Both
Work
Power on
OK
YES
NO
Replace Power BD
YES
NO
RED
No Led light
Panel Bright
NO
Replace Main BD
NO
YES
Check signal
Source
YES
NO
YES
Replace Panel
OK
NO
Note:
MTK5659 TV LED feature:
When TV is in working status, No led light.
When TV is in standby status, Led light is RED.
Note:
If main board & power board are one complex
board not separately, then replace main board or
power board will change the complex board.

Related product manuals