EasyManua.ls Logo

Hisense MT5659DUHT - Troubleshooting for TV;VGA;HDMI Input

Hisense MT5659DUHT
50 pages
Print Icon
To Next Page IconTo Next Page
To Next Page IconTo Next Page
To Previous Page IconTo Previous Page
To Previous Page IconTo Previous Page
Loading...
- 36 -
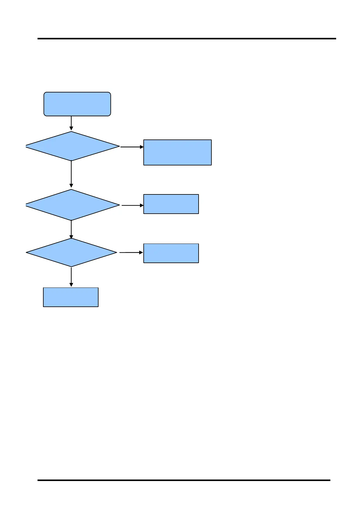
5.5 Troubleshooting for TV/VGA/HDMI input
No picture on the screen
Check Signal Source
Check connect
Check cable
Replace main board
Make sure signal
source is available
Reconnect
Replace cable
NO
YES
YES
NO
NO

Related product manuals