EasyManua.ls Logo

Hisense MT5659DUHT - Troubleshooting for Video Input; 6 Signals Block Diagram & Power Assign & Schematic Diagram

Hisense MT5659DUHT
50 pages
Print Icon
To Next Page IconTo Next Page
To Next Page IconTo Next Page
To Previous Page IconTo Previous Page
To Previous Page IconTo Previous Page
Loading...
- 37 -
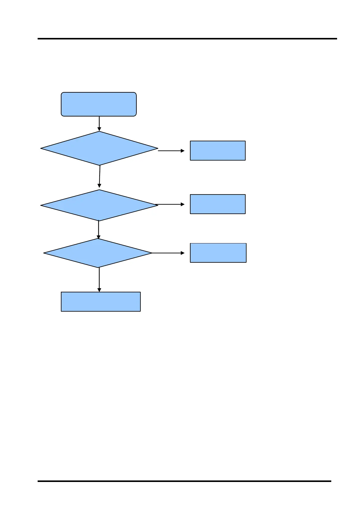
5.6 Troubleshooting for Video input
No picture on the screen
Check Source work or not
Check connect
Check Cable/ Wires
Replace main board
Check Signal Source
Reconnect
Replace Cable/Wires
NO
YES
YES
NO
YES
NO
6. Signals Block Diagram & power assign & schematic diagram :

Related product manuals