EasyManua.ls Logo

Hitachi P50T01E - Audio Troubleshooting; Input Signal Audio Diagnostics

Hitachi P50T01E
77 pages
Print Icon
To Next Page IconTo Next Page
To Next Page IconTo Next Page
To Previous Page IconTo Previous Page
To Previous Page IconTo Previous Page
Loading...
23
P50T01U/E P50TP01U/E P42T01U/E P42TP01U/E
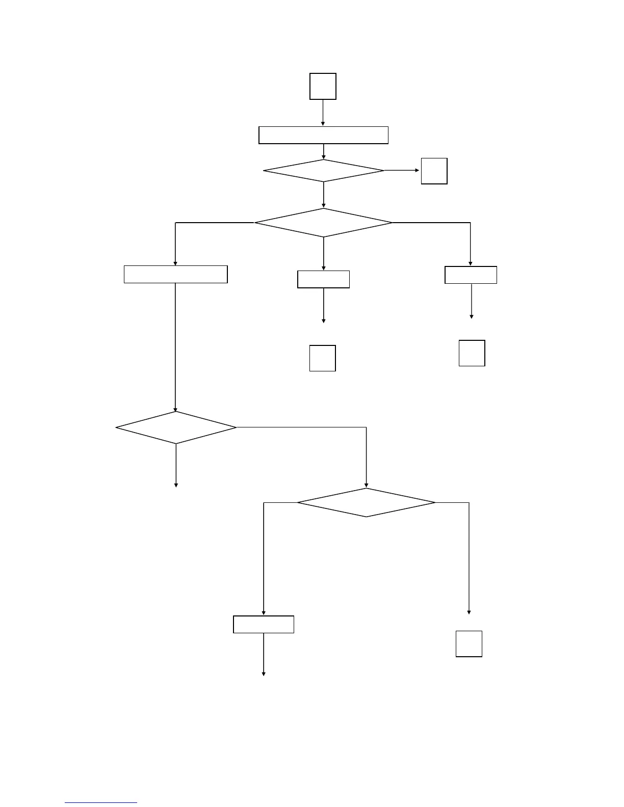
[Sound troubleshooting]
Which input is abnormal?
Sound is abnormal
C
No
Yes
Are all inputs no sound?
HDMI
Same as HDMI (Picture)
troubleshooting
DTT
Same as DTT (Picture)
troubleshooting
RF (analog)/ AV1/2/3/4/5
D
d
c
Are all analog inputs
with no sound?
Which input is abnormal?
Yes
No
RF (analog tuner)
AV1/2/3/4/5
AV1/2/3/4/5
RF (analog tuner)
Change Terminal PCB
If no improvement,
change MAIN PCB
Change MAIN PCB
If no improvement,
change Terminal PCB
E

Related product manuals