EasyManua.ls Logo

Hitachi Set Free mini-HNRQ1 Series - Saturation Curve for Refrigerant

Hitachi Set Free mini-HNRQ1 Series
187 pages
Print Icon
To Next Page IconTo Next Page
To Next Page IconTo Next Page
To Previous Page IconTo Previous Page
To Previous Page IconTo Previous Page
Loading...
169
FIELD WORK INSTRUCTIONS
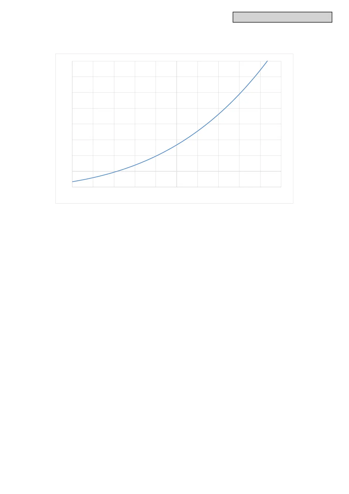
5. Saturation Curve for Refrigerant
0.0
0.5
1.0
1.5
2.0
2.5
3.0
3.5
4.0
-30-20 -100 10 20 30 40 50 60 70
)G(apM )diuqiL( erusserP noitarutaS
Saturation Temperature (Liquid)
o
C
R410A

Table of Contents

Other manuals for Hitachi Set Free mini-HNRQ1 Series

Related product manuals