EasyManua.ls Logo

HP LP2475w - 6 Block Diagram; Software Flow Chart

HP LP2475w
84 pages
Print Icon
To Next Page IconTo Next Page
To Next Page IconTo Next Page
To Previous Page IconTo Previous Page
To Previous Page IconTo Previous Page
Loading...
24" LCD Color Monitor HP LP2475w
18
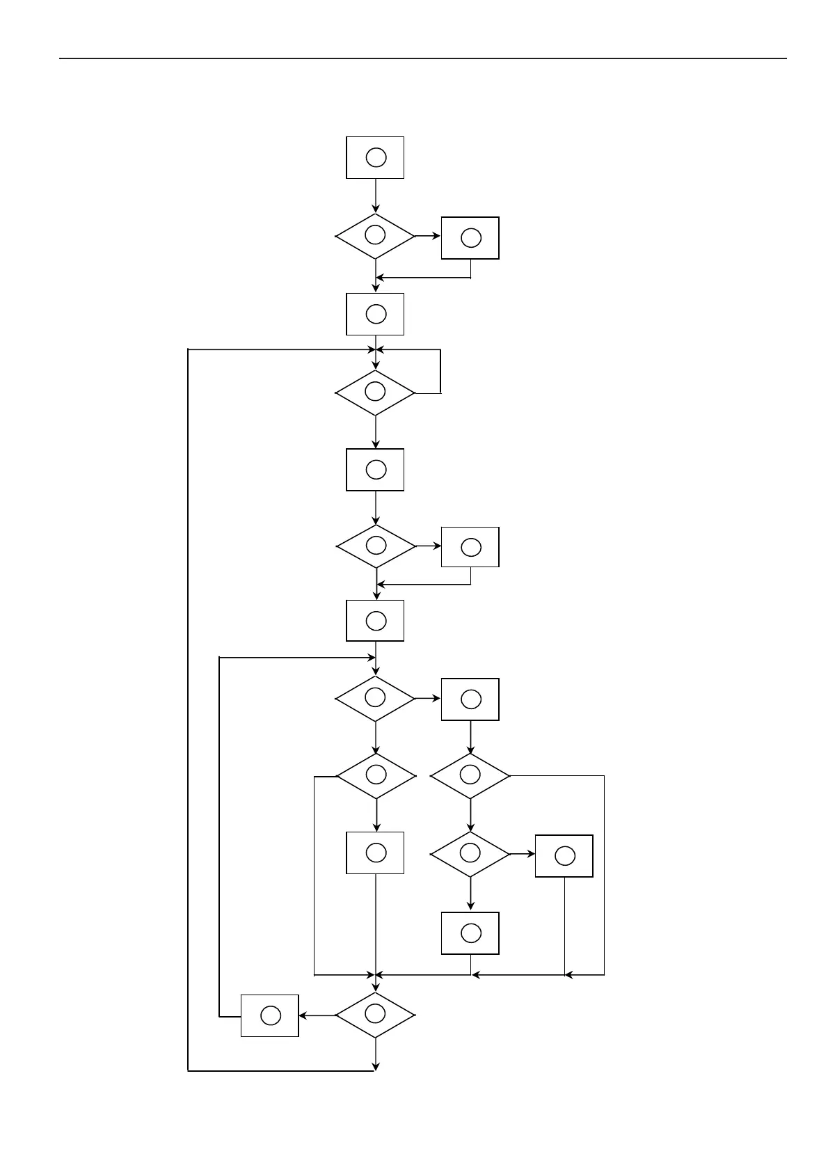
6. Block diagram
6. 1 Software Flow Chart
1
2
N
Y
5
Y
N
10
Y
N
12
Y
N
7
Y
N
6
4
3
8
9
14
11
13
Y
N
15
Y
N
16
17
19
Y
N
18

Other manuals for HP LP2475w

Related product manuals