EasyManua.ls Logo

IDEC FC4A-C10R2 - S1+10 Integral Start Coefficient; S1+12 Sampling Period

IDEC FC4A-C10R2
525 pages
Print Icon
To Next Page IconTo Next Page
To Next Page IconTo Next Page
To Previous Page IconTo Previous Page
To Previous Page IconTo Previous Page
Loading...
21: PID INSTRUCTION
« FC4A MICROSMART USERS MANUAL » 21-7
When the derivative time is set to a large value, the derivative action becomes large. When the derivative action is too
large, hunching of a short period is caused.
While the PID action is in progress, the derivative time value can be changed by the user.
S1+10 Integral Start Coefficient
The integral start coefficient is a parameter to determine the point, in percent of the proportional term, where to start the
integral action. Normally, the data register designated by S1+10 (integral start coefficient) stores 0 to select an integral
start coefficient of 100% and the integral start coefficient disable control relay (S2+3) is turned off to enable integral start
coefficient. When the PID action is executed according to the PID parameters determined by auto tuning, proper control is
ensured with a moderate overshoot and no offset.
It is also possible to set a required value of 1 through 100 to start the integral action at 1% through 100% to the data regis-
ter designated by S1+10. When S1+10 stores 0 or a value larger than 100 (except for 200), the integral start coefficient is
set to 100%.
Another optional value of 200 is available on upgraded CPU modules with system program ver. 202 (FC4A-C24R2,
FC4A-C24R2C, FC4A-D20K3, and FC4A-D20S3) and system program ver. 201 (FC4A-D20RK1, FC4A-D20RS1,
FC4A-D40K3, and FC4A-D40S3) or higher.
When 200 is set to S1+10 in these upgraded CPU modules, the integral action is enabled only while the process variable
(S4) is within the proportional band. When the process variable runs off the proportional band due to disturbance or chang-
ing of the set point, the integral action is disabled, so that adjustment of the output manipulated variable (S1+1) is
improved with little overshoot and undershoot.
To enable the integral start coefficient, turn off the integral start coefficient disable control relay (S2+3). When S2+3 is
turned on, the integral start coefficient is disabled and the integral term takes effect at the start of the PID action.
When the integral term is enabled at the start of the PID action, a large overshoot is caused. The overshoot can be sup-
pressed by delaying the execution of the integral action in coordination with the proportional term. The PID instruction is
designed to achieve proper control with a small or moderate overshoot when the integral start coefficient is set to 100%.
Overshoot is most suppressed when the integral start coefficient is set to 1% and is least suppressed when the integral start
coefficient is set to 100%. When the integral start coefficient is too small, overshoot is eliminated but offset is caused.
S1+11 Input Filter Coefficient
The input filter has an effect to smooth out fluctuations of the process variable (S4). Set a required value of 0 through 99 to
specify an input filter coefficient of 0% through 99% to the data register designated by S1+11. When S1+11 stores a value
larger than 99, the input filter coefficient is set to 99%. The larger the coefficient, the larger the input filter effect.
The input filter is effective for reading a process variable (S4) such as temperature data when the value changes at each
sampling time. The input filter coefficient is in effect during auto tuning and PID action.
S1+12 Sampling Period
The sampling period determines the interval to execute the PID instruction. Set a required value of 1 through 10000 to
specify a sampling period of 0.01 sec through 100.00 sec to the data register designated by S1+12. When S1+12 stores 0,
the sampling period is set to 0.01 sec. When S1+12 stores a value larger than 10000, the sampling period is set to 100.00
sec.
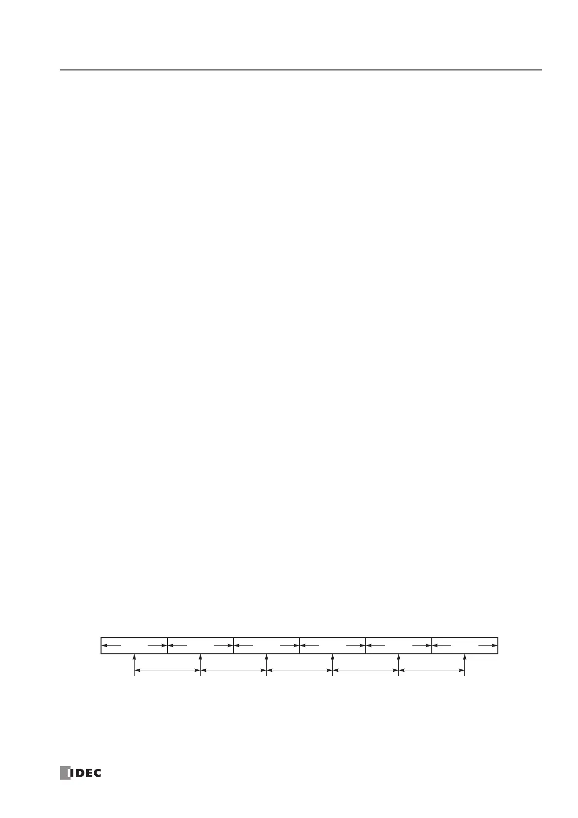
When a sampling period is set to a value smaller than the scan time, the PID instruction is executed every scan.
Example – Sampling period: 40 ms, Scan time: 80 ms (Sampling period Scan time)
1 scan
80 ms 80 ms 80 ms 80 ms 80 ms
PID
Executed
PID
Executed
PID
Executed
PID
Executed
PID
Executed
PID
Executed
1 scan 1 scan 1 scan 1 scan 1 scan

Table of Contents

Related product manuals