EasyManua.ls Logo

INQUA BR027100 - Aerosolcharakteristika Gemäß en 13544-1 Anhang CC

INQUA BR027100
Print Icon
To Next Page IconTo Next Page
To Next Page IconTo Next Page
To Previous Page IconTo Previous Page
To Previous Page IconTo Previous Page
Loading...
de
37
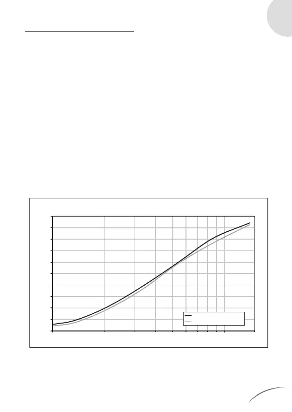
8.2 Aerosolcharakteristika gemäß EN 13544-1 Anhang CC
Die Leistung des Verneblers ist abhängig vom verwendeten
Medikament. Die nachfolgenden Daten gelten deshalb mögli-
cherweise nicht für Medikamente, die als Suspensionen vorlie-
gen oder hoch viskos sind. Fragen Sie ggf. beim Hersteller des
verwendeten Medikaments nach.
Bestimmung der Partikelgröße
Befüllung des INQUA
®
Verneblers mit 3 ml 2,5%iger Testlösung
und anschließender Betrieb des INQUA
®
Verneblers über
3 Minuten an einem Impaktor (NGI™ = Next Generation
Impactor™).
Kumulative Massenverteilung des INQUA
®
Verneblers bei
minimaler Durchflussmenge (3,0 l/min) und maximaler
Durchflussmenge (6,0 l/min):
(Mittelwerte aus je 2 Einzelmessreihen mit 3 Vernebler-Druckluft-Kombinationen)
0
10
20
30
40
50
60
70
80
90
100
MMAD [µm]
1,00 10,00 15,00
Kumulative Wirkstoffverteilung [%]
Kumulative Wirkstoffverteilung mit 2,5%iger Testlösung
Mittelwert bei 3 l/min JetFlow
Mittelwert bei 6 l/min JetFlow

Table of Contents