EasyManua.ls Logo

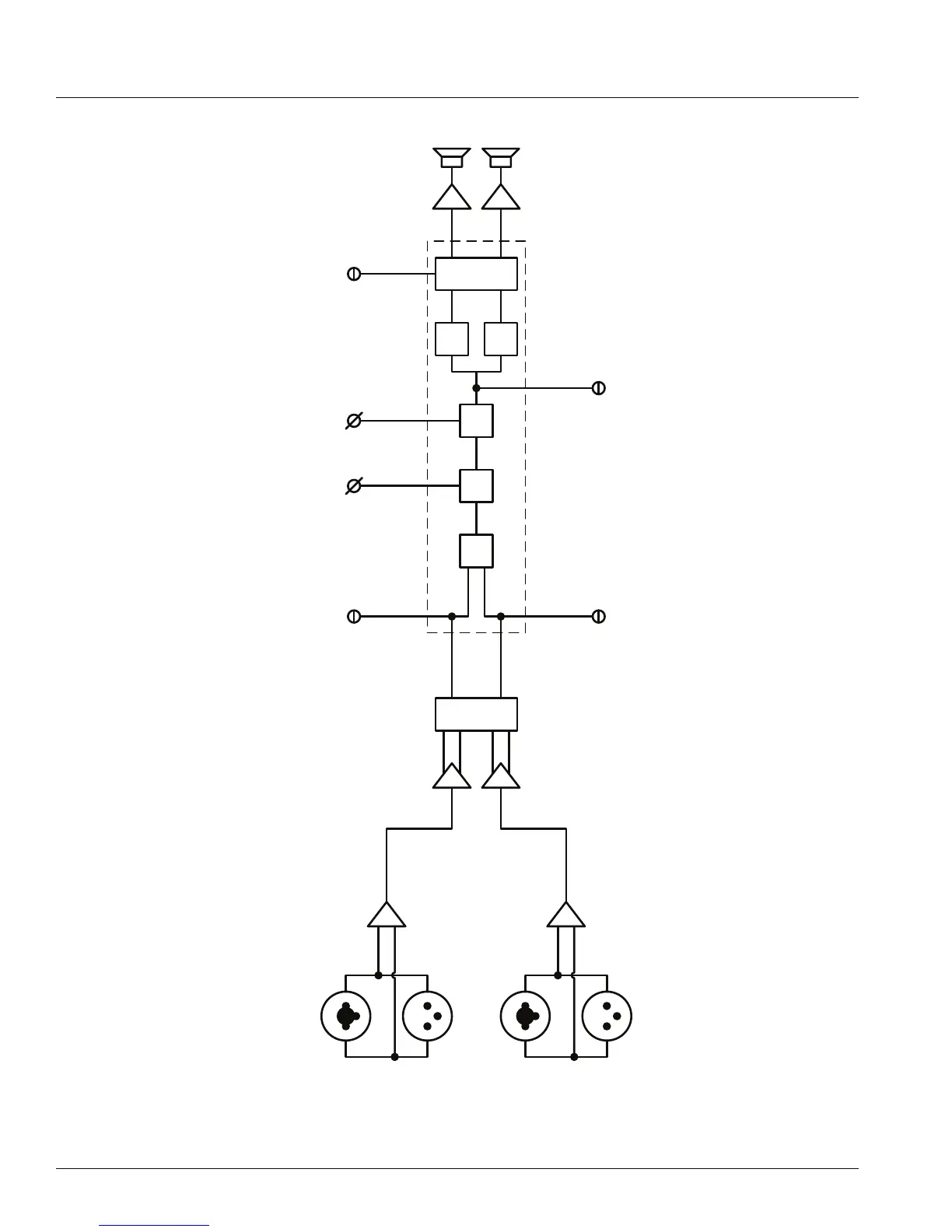
JBL SRX815P - SRX828 SP Block Diagram; Signal Path Overview

JBL SRX815P
45 pages
Print Icon
To Next Page IconTo Next Page
To Next Page IconTo Next Page
To Previous Page IconTo Previous Page
To Previous Page IconTo Previous Page
Loading...
16
/3)
/3)
(4 /,0$'&

/)
/)
6,*1$/
6,*1$/
35(6(76
*$,1
0$67(5
6,*1$/
/,0,7
'63
&+
,1
,1
287
287
&+
SRX828SP - BLOCK DIAGRAM

Other manuals for JBL SRX815P

Related product manuals