EasyManua.ls Logo

JVC MX-S6MD - Laser Pickup Maintenance and Replacement; Maintenance of Laser Pickup (MD)

JVC MX-S6MD
70 pages
Print Icon
To Next Page IconTo Next Page
To Next Page IconTo Next Page
To Previous Page IconTo Previous Page
To Previous Page IconTo Previous Page
Loading...
MX-S6MD
1-38
(1) Prior to changing the pickup, clean the pickup lens.
(2) For cleaning the lens, use the following cotton swab after
mearsing it in alcohol.
Product No : JCB-B4 Manufacturer : Nippon Cotton Swab
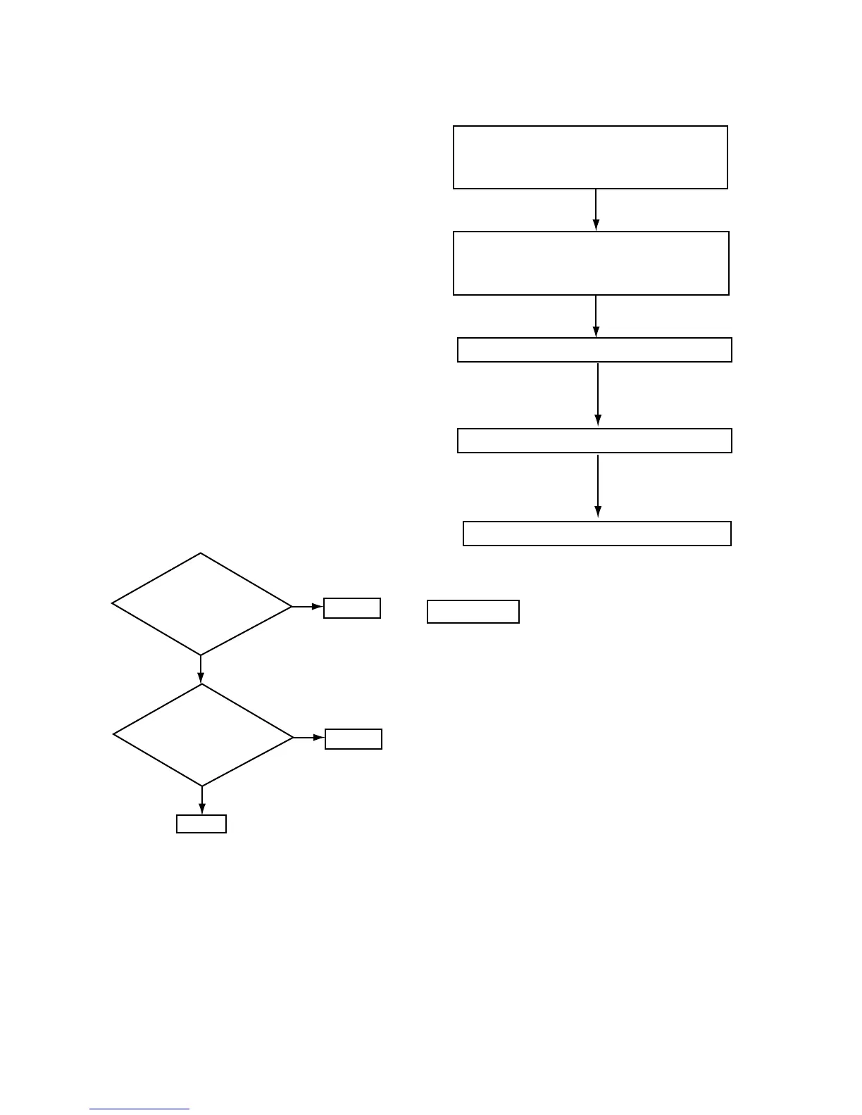
Is the
recording power
(6.23mW) output with
the laser power under
test mode?
The drive current
of laser diode 120mA
or less?
Change
NO
YES
Change
O.K.
NO
YES
The semi-solid state resistor on the APC board
attached to the pickup is used for adjusting the laser
power. Since these resistor should be adjusted in
pair according to the characteristics of the optical
block, be sure not touch on the resistors.
Since the service life of the laser diode will be
exhausted when the laser power is low, it is
necessary to change the pickup.
Meanwhile, do not pickup.
Otherwise, the pickup will be damaged due to over
current.
Replacement of laser pickup
(MD)
Change the MD pickup by referring to
"Removing the MD pickup" in the
disassembly method.
Set the pickup to [TEST] mode according
to the procedures described in the
adjustment method.
Adjust the laser power.
Completion the disc.
Completion of changing the MD pickup.
Since this system is designed to perform magnetic
recording, the laser power ten times or over of the
conventional MD player will be output. Therefore, be
sure to perform not only adjustment and operation
of this system so carefully as not to directly look at
the laser beam or touch on the body.
CAUTION
Maintenance of laser pickup
(MD)
1. Cleaning of pickup lens
2. Confirmation of the service life of laser
diode when the service life of the laser
diode has been exhausted, the following
symptoms will appear.
(1) Recording will become impossible.
(2) The RF output (EFM output and eye-pattern amplitude)
will become lower.
(3) The drive current required for light emitting of laser diode
will be increased.
Confirm the service life according to the following flow chart.
3. Method of measuring the drive current
of laser diode
When the voltage measured at each side of R337,
it become 120mV or over, the service life of laser
diode is judged to have been exhausted.
4.Semi-solid state resistors on the
APC board.

Related product manuals