EasyManua.ls Logo

Kohler 14RESA

Kohler 14RESA
36 pages
To Next Page IconTo Next Page
To Next Page IconTo Next Page
To Previous Page IconTo Previous Page
To Previous Page IconTo Previous Page
Loading...
18 TT-1596 8/22
5Operation
5.1 Synchronization and Paralleling
The RDC2 controllers on Generator 1 and Generator 2
control the synchronizing and paralleling of the
generators. Each controller is responsible for making
the required adjustments to synchronize to the other
generator and to share real and reactive load once the
generators are both online. The synchronizing and
paralleling process starts after the generator reaches
rated voltage and frequency and consists of 3 steps:
1. First-on determination
2. Synchronizing
3. Paralleling
These steps are described in the following sections.
5.1.1 First -On Determination
The generators exchange information across the RBUS
network. When one of them is running at rated voltage
and frequency, it alerts the other, then closes the
paralleling contactor in the APM, which connects it to the
bus.
Note: Either generator can be the first to close to the
bus, depending on which one starts and reaches
rated voltage and frequency first.
5.1.2 Synchronizing
Once one of the generators is connected to the
paralleling bus in the APM (it is now called the running
generator), the other generator (called the incoming
generator) will see voltage on the bus and synchronize
to it. If the incoming generator does not see voltage on
the bus, the contr oller will issue a BusDeadLive warning.
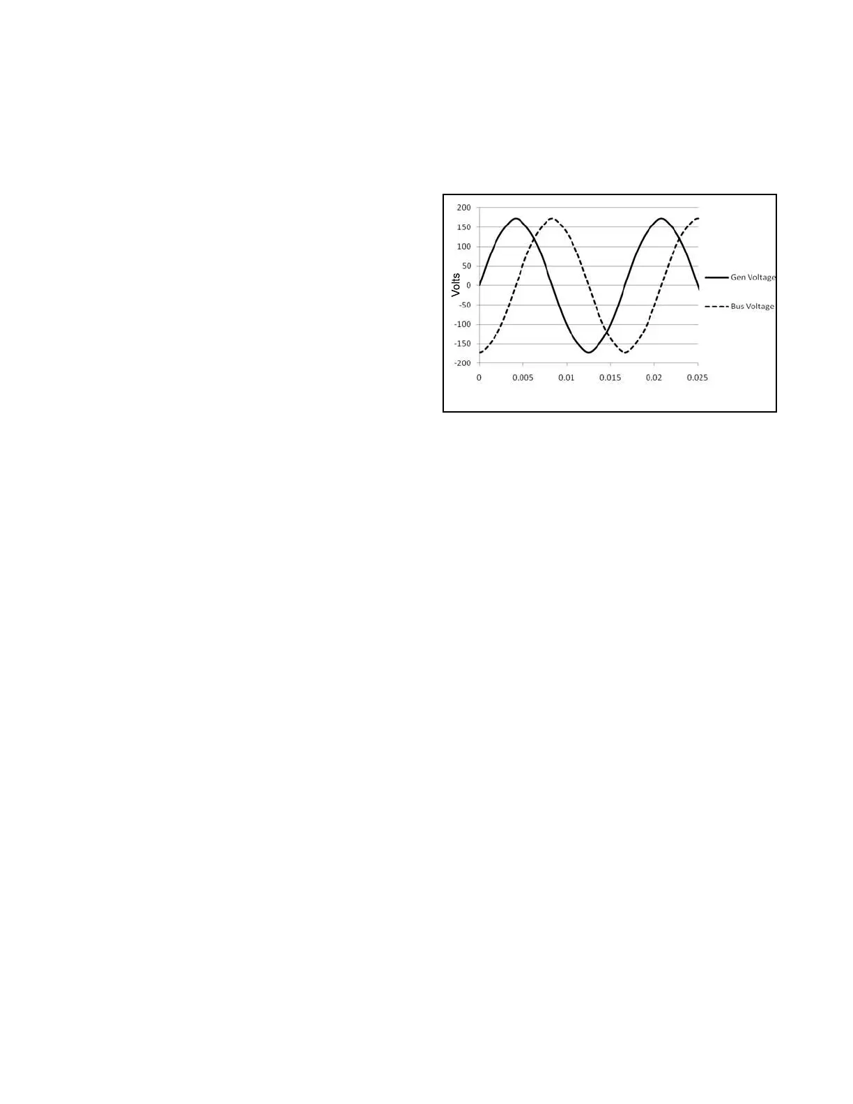
Synchronizing involves adjusting the speed of the
engine for the incoming generator until the dips and
swells in the voltage waveform (which is roughly
sinusoidal) align with the dips and swells in the voltage
waveform of the running generator (which is trying to
maintain a constant speed). When the waveforms align,
the generators are considered synchronized. Figure 18
illustrates typical voltage waveforms when they are not
synchronized.
Synchronizing also verifies that the bus voltage is not
appreciably different than the generator voltage. If the
voltage is significantly different, the controller will adjust
the generator voltage to match. This is why the bus
voltage must be calibrated as described in Section 4.5.
When the generators are synchronized, the paralleling
contactor for the incoming generator will also close.
tt1596
Time, seconds (60 Hz output)
Figure 18 Voltage Wave Forms, Not Synchronized
5.1.3 Paralleling
After both contactors are closed, the generator
controllers will act to ensure that the voltage regulators
are targeting the same voltage (which should be nearly
identical if the controllers are calibrated accurately) and
that their throttles are effectively in the same position.
Voltage regulator target voltage differences are
measured by the controller as reactive power. A positive
reactive power (generated VARs) from a generator
means that the voltage regulator on that generator is
adjusted higher than the voltage regulator on the other
generator. A negative reactive power (absorbed VARs)
from a generator means that the voltage regulator on
that generator is adjusted lower than the voltage
regulator on the other generator. The controllers will
adjust the target voltage on each generator up and down
in an effort to make the reactive power match. The sum
of the reactive power of generator 1 and generator 2 is
the reactive power demanded by the load. This will
typically be very low, unless a large motor is starting.
Throttle position variations are measured by the
controller as real power. Opening the throttle on one of
the generators will result in that generator producing
more power. The controllers adjust the target speed of
the engine (an input to the governor, also contained in
the controller) to match the real power of the generators.
The sum of the real power on generator 1 and
generator 2 is the real power provided to the load. This
is the load used for generator management calculations
and for the load control module.

Other manuals for Kohler 14RESA

Related product manuals