EasyManua.ls Logo

Lauda Viscotemp 15 G - Page 101

Lauda Viscotemp 15 G
132 pages
Print Icon
To Next Page IconTo Next Page
To Next Page IconTo Next Page
To Previous Page IconTo Previous Page
To Previous Page IconTo Previous Page
Loading...
09/2021 ECO Gold 101 / 134
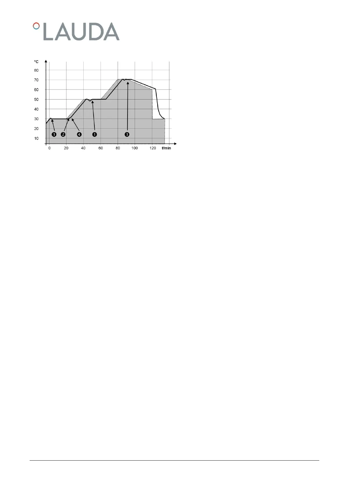
The tolerance entry can have a large effect with external
bath control. The adjacent graph of the edited trace shows
the possible run-on of the actual temperature in the bath
vessel (continuous line) for the set-point temperature of
the programmer (highlighted in gray).
Note:
The tolerance field facilitates exact conformance
to the dwell time at a specified temperature. The
following segment is only processed when the ac-
tual temperature reaches the tolerance band ,
so that for example the ramp of segment 2 is only
started delayed by .
A tolerance range which is too tight can however also cause undesired delays. In particular with external control
the range should not be chosen too tightly. In Segment 5 a larger tolerance has been entered, so that the de-
sired time of ten minutes is maintained even with settling action .
Only flat (slow) ramps should be programmed where necessary with a tolerance range. Steep ramps which lie
close to the maximum possible heating or cooling rates of the thermostat may be severely delayed by a toler-
ance range that is too tight (here in Segment 2) .
Note: No time specification is possible in the start segment (No. 1). The temperature of the first segment is attained as
quickly as possible in order to switch to segment 2 after reaching the set tolerance.

Table of Contents

Related product manuals