EasyManua.ls Logo

LEM d400 - Page 17

LEM d400
Print Icon
To Next Page IconTo Next Page
To Next Page IconTo Next Page
To Previous Page IconTo Previous Page
To Previous Page IconTo Previous Page
Loading...
17
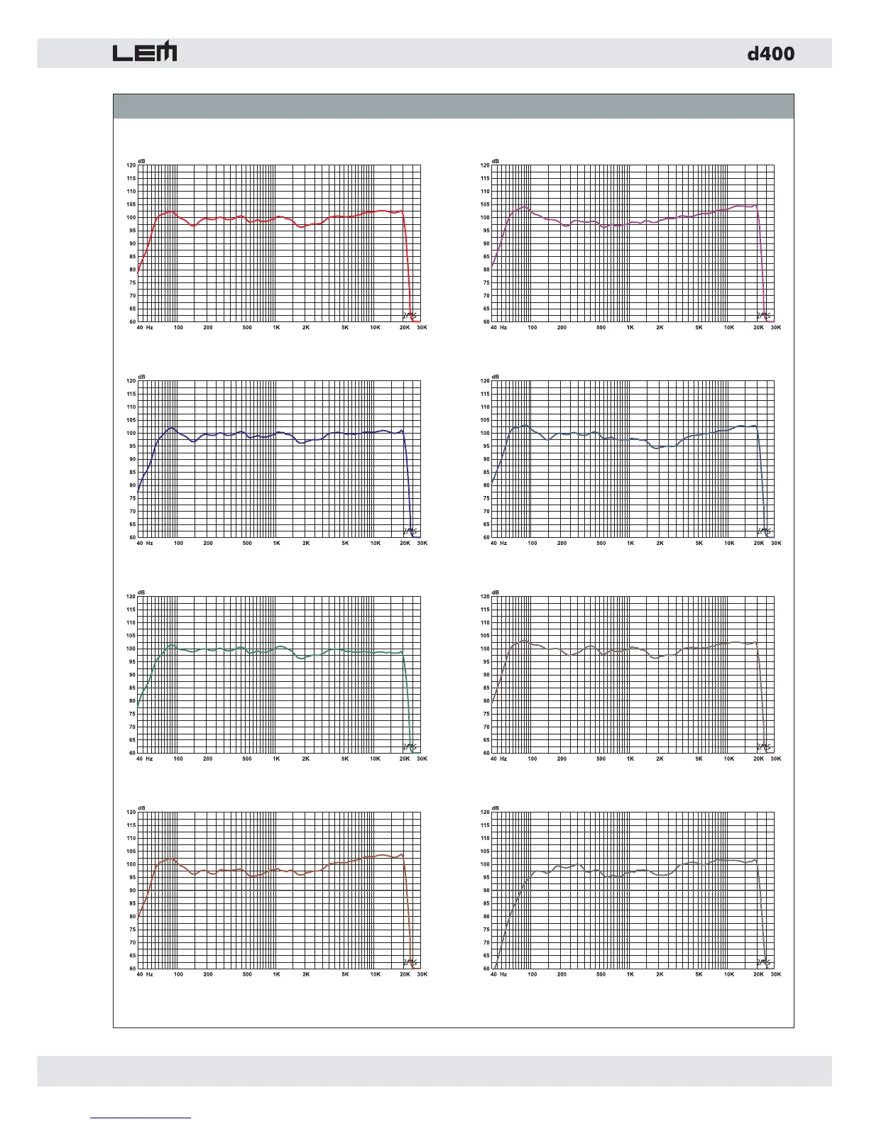
FIG. 7 - PRESETS
LEM INDOOR MAX LOUDNESS
LEM OUTDOOR CD PLAYER
FLAT RESPONSE WALL MOUNT
ENTERTAINER STAGE MONITOR

Other manuals for LEM d400

Related product manuals