EasyManua.ls Logo

Lennox LGH240H - Page 58

Lennox LGH240H
120 pages
To Next Page IconTo Next Page
To Next Page IconTo Next Page
To Previous Page IconTo Previous Page
To Previous Page IconTo Previous Page
Loading...
Page 58
Page 58
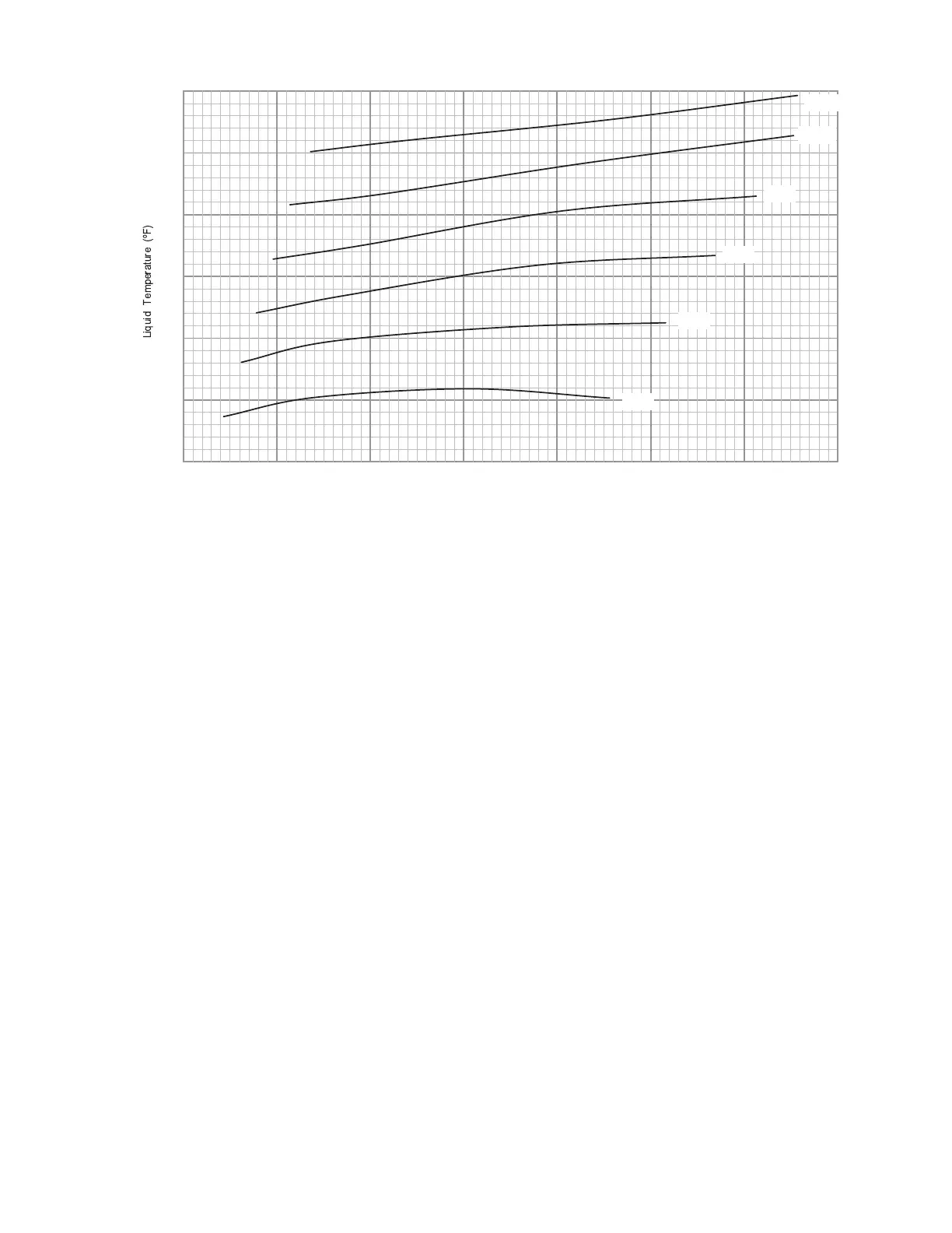
70
80
90
100
110
120
115 125 135 145 155 165 175
LGH/LCH156 VAV CHARGING CURVE CIRCUIT 3 - 580950-01
Suction Pressure (psig)
Outdoor Temperature (°F)
115°
105°
95°
85°
75°
65°
185
130

Other manuals for Lennox LGH240H

Related product manuals