EasyManua.ls Logo

LG D337 - VT Camera TS

LG D337
242 pages
Print Icon
To Next Page IconTo Next Page
To Next Page IconTo Next Page
To Previous Page IconTo Previous Page
To Previous Page IconTo Previous Page
Loading...
4. DOWNLOAD
- 108 -
Copyright © 2014 LG Electronics. Inc. All right reserved.
Only for training and service purposes
LGE Internal Use Only
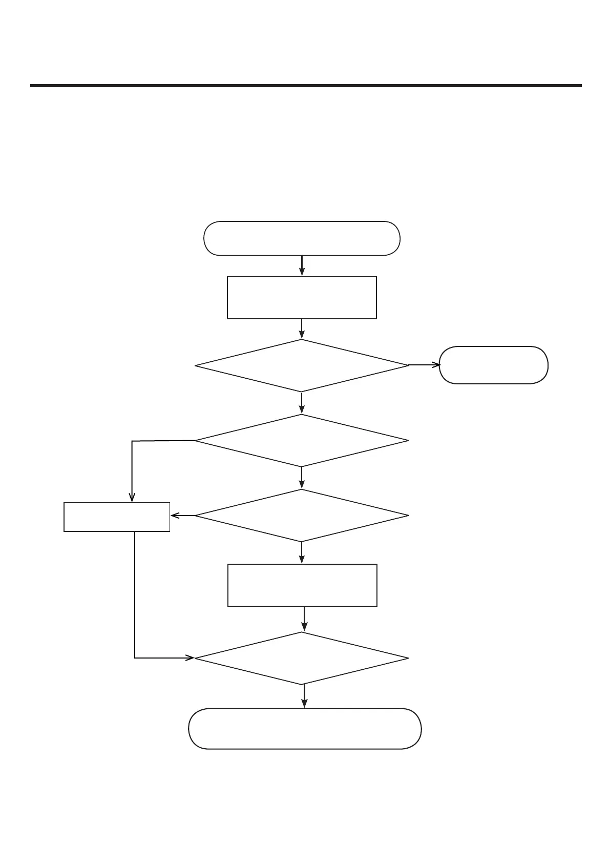
3.18. VT Camera TS
VGA camera control signals are generated by MT6582 (U2100 : Main Chipset).
And powered by voltage regulator (U4100)
Camera is OK ?
Check VIO(TP1), DVDD(TP2), AVDD(TP3)
Camera is OK ?
Check the camera signals MCLK(TP4),
MIPI_CLK(TP5), MIPI_DATA(TP6)
START
END
END
Check the camera Conn.
And reconnect the camera
Change the Main board
Change the Camera
Yes
Yes
Yes
No
No
No
Yes

Related product manuals