EasyManua.ls Logo

LG Flatron M1717A - Troubleshooting Guide

LG Flatron M1717A
33 pages
Print Icon
To Next Page IconTo Next Page
To Next Page IconTo Next Page
To Previous Page IconTo Previous Page
To Previous Page IconTo Previous Page
Loading...
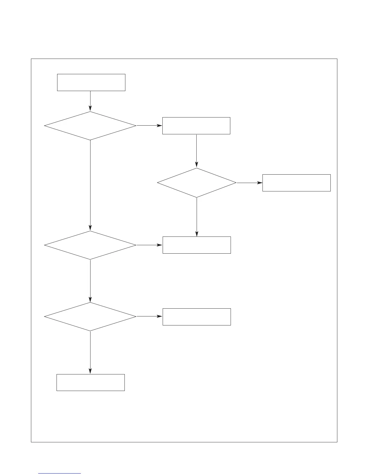
TROUBLESHOOTING GUIDE
- 15 -
No power
(LED indicator off)
Check short of main B/D
or Change Lips
Change U406
Change LED Assy
Check 15V or 5V
of Lips
Check Output of
U406
Check LED Assy
Check J103, J125, J126
Connector
Fail
Fail
Change Q402
Check Output of
Q402
Fail
Pass
Pass
Fail
Pass
Pass
Pass
:[A]Process

Related product manuals