EasyManua.ls Logo

LG LMXC23746S - Sealed System Diagnosis

LG LMXC23746S
118 pages
To Next Page IconTo Next Page
To Next Page IconTo Next Page
To Previous Page IconTo Previous Page
To Previous Page IconTo Previous Page
Loading...
- 101 -
Leak
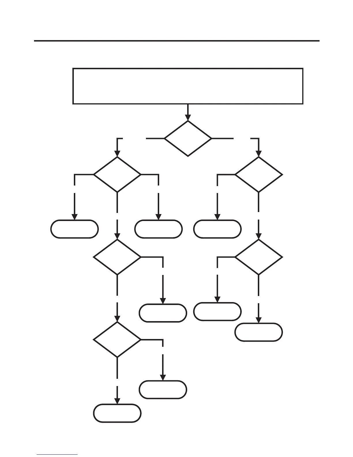
12-6-2 SEALED SYSTEM DIAGNOSIS
“Not Cooling” Complaint
All components operating, No airflow problems, Not frosted up as a defrost
problem
problem has been isolated to sealed system area
Partial None
Frost
Pattern?
Very Slow
Very Slow
Very Fast
Very Fast
Fast
Hotter than Normal
Faint
None to Weak
Room Temperature
Yes
No
Equalization
Test
Equalization
Test
Inefficient
Compressor
Partial
Restriction
Complete
Restriction
Condenser
Temperature
Cap Tube
Sound
Air/Low Side
Leak
Loss of Change
Compressor Not
Pumping
Trace of Oil
Under charge
(The equalization test is trying to restart a compressor using a start kit after it has been operating.)

Table of Contents

Other manuals for LG LMXC23746S

Related product manuals