EasyManua.ls Logo

LG Tri-Zone Multi F - Page 32

LG Tri-Zone Multi F
77 pages
To Next Page IconTo Next Page
To Next Page IconTo Next Page
To Previous Page IconTo Previous Page
To Previous Page IconTo Previous Page
Loading...
'XHWRRXUSROLF\RIFRQWLQXRXVSURGXFWLQQRYDWLRQVRPHVSHFL¿FDWLRQVPD\FKDQJHZLWKRXWQRWL¿FDWLRQ
©/*(OHFWURQLFV86$,QF(QJOHZRRG&OLIIV1-$OOULJKWVUHVHUYHG³/*´LVDUHJLVWHUHGWUDGHPDUNRI/*&RUS
32 | MULTI F OUTDOOR UNIT
Multi F and Multi F MAX Heat Pump System Engineering Manual
MULTI
F
MAX
MULTI
F
Octave Band Center Frequency (Hz)
Octave Band Sound Pressure Level (0dB = 20μPa)
10
20
30
40
50
60
70
80
63 125 250 500 1000 2000 4000 8000
NC-15
NC-20
NC-25
NC-30
NC-35
NC-40
NC-45
NC-50
NC-55
NC-60
NC-65
Approximate
Hearing
Threshold
Octave Band Center Frequency (Hz)
Octave Band Sound Pressure Level (0dB = 20μPa)
10
20
30
40
50
60
70
80
63 125 250 500 1000 2000 4000 8000
NC-15
NC-20
NC-25
NC-30
NC-35
NC-40
NC-45
NC-50
NC-55
NC-60
NC-65
Approximate
Hearing
Threshold
Octave Band Center Frequency (Hz)
Octave Band Sound Pressure Level (0dB = 20μPa)
10
20
30
40
50
60
70
80
63 125 250 500 1000 2000 4000 8000
NC-15
NC-20
NC-25
NC-30
NC-35
NC-40
NC-45
NC-50
NC-55
NC-60
NC-65
Approximate
Hearing
Threshold
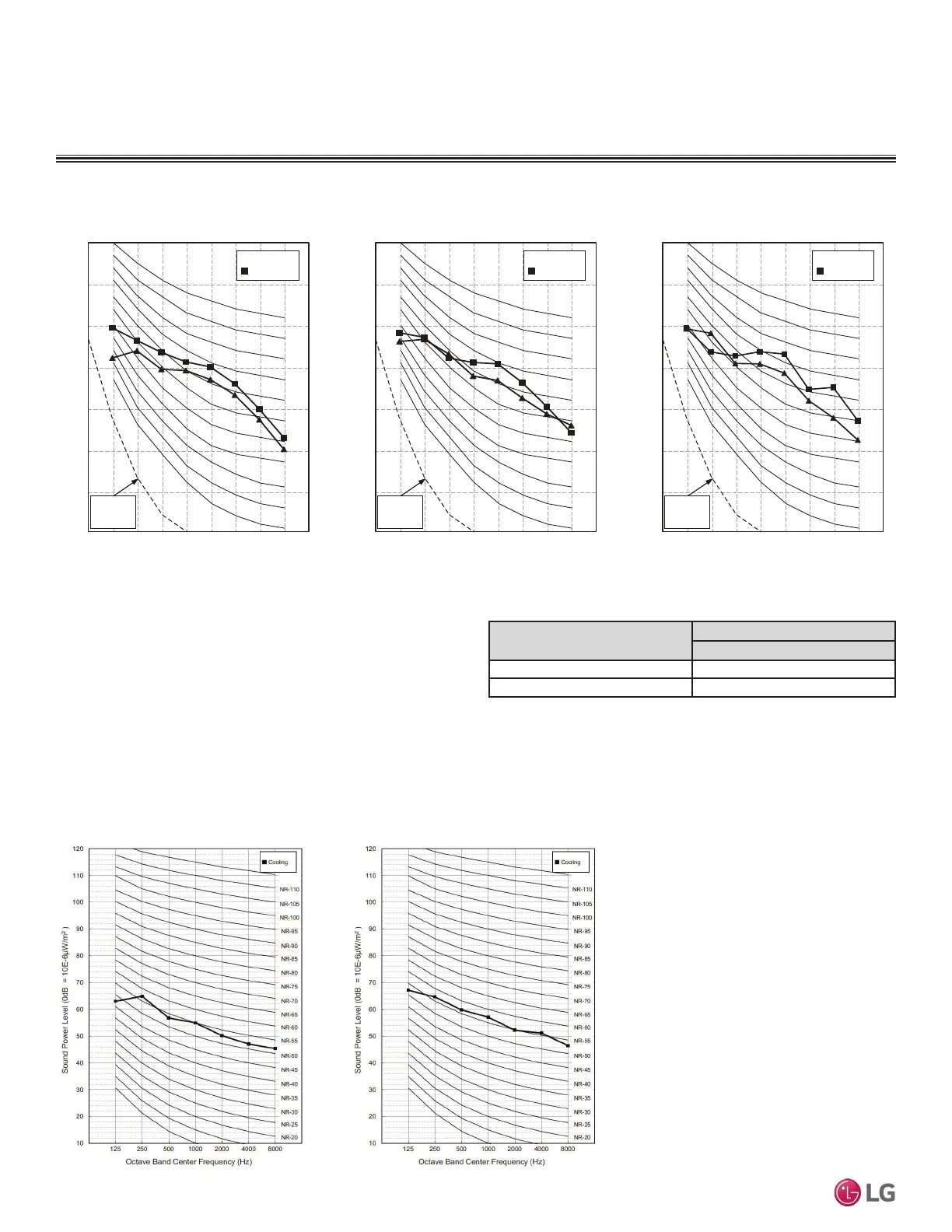
LMU18CHV LMU24CHV LMU30CHV, LMU36CHV
Cooling
Heating
Cooling
Heating
Cooling
Heating
$FRXVWLF'DWD
MULTI F OUTDOOR UNIT
Table 21: Sound Power Levels (dB[A]).
Model No.
Sound Power Level (dB[A])
Cooling
LMU180HV 64
LMU240HV 66
Sound Power Levels
Data is valid under diffuse field conditions.
Data is valid under nominal operating conditions.
Sound power level is measured using rated conditions, and tested
in a reverberation room per ISO 3741 standards.
Sound level will vary depending on a range of factors such as
construction (acoustic absorption coefficient) of particular area in
which the equipment is installed.
5HIHUHQFHDFRXVWLFLQWHQVLW\G% (ȝ:P
2
Figure 19: Sound Pressure Level Diagrams, continued.
Figure 20: Sound Power Level Diagrams.
/08+9
/08+9

Other manuals for LG Tri-Zone Multi F

Related product manuals