EasyManua.ls Logo

METER TEROS 21 - TEROS 21 Measurement Limitations

METER TEROS 21
26 pages
Print Icon
To Next Page IconTo Next Page
To Next Page IconTo Next Page
To Previous Page IconTo Previous Page
To Previous Page IconTo Previous Page
Loading...
11
TEROS 21
0.000
0.100
0.200
0.300
0.400
0.500
0.600
0.700
0.800
0.900
1.000
110100 1,00010,00
01
00,000
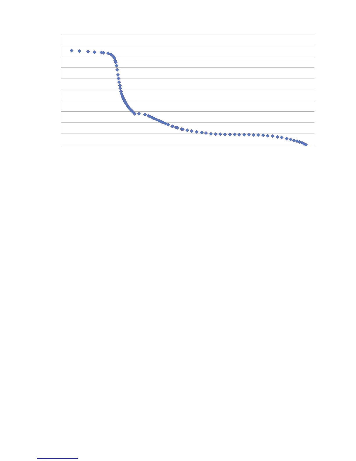
WATER POTENTIAL (-kPa)
GRAVIMETRIC WATER CONTENT
 Moisture characteristic curve of TEROS 21 ceramic derived from mercury porosimeter data

As the sensor dries past the plant-available range, the total pore volume that drains at
a given water potential decreases. At these low water potentials, the measured water
potential can become somewhat noisy because small changes in measured water content
of the ceramic translate into large changes in water potential. This phenomenon is most
pronounced when the sensor is air dry. It is expected that the measured water potential of an
open air and dry sensor can jump around throughout the range of −50,000 to −100,000 kPa.
The noise level is much lower when the sensor is installed in the soil, even at air-dry
waterpotential.

The air entry potential of the largest pores in the ceramic is about −9 kPa. However, the
ceramic disc must have access to air for the large pores to begin draining and the response
of the sensor to change. If the soil around the sensor has an air entry potential lower (drier)
than −9 kPa, the ceramic will not begin to lose water until reaching the air entry potential
of the soil. In this scenario, the air entry potential of the soil limits the wet-end range,
rather than the ceramic discs themselves. The sensor may not begin to respond until lower
water potentials (−10 kPa). This is generally only an issue when using the sensor in poorly
structured soils with high clay content.

Other manuals for METER TEROS 21

Related product manuals