EasyManua.ls Logo

Micom P341 - Thermal Overload; Earth Fault

Default Icon
86 pages
Print Icon
To Next Page IconTo Next Page
To Next Page IconTo Next Page
To Previous Page IconTo Previous Page
To Previous Page IconTo Previous Page
Loading...
P341/EN AD/F43 Update Documentation
(AD) -20
MiCOM P341
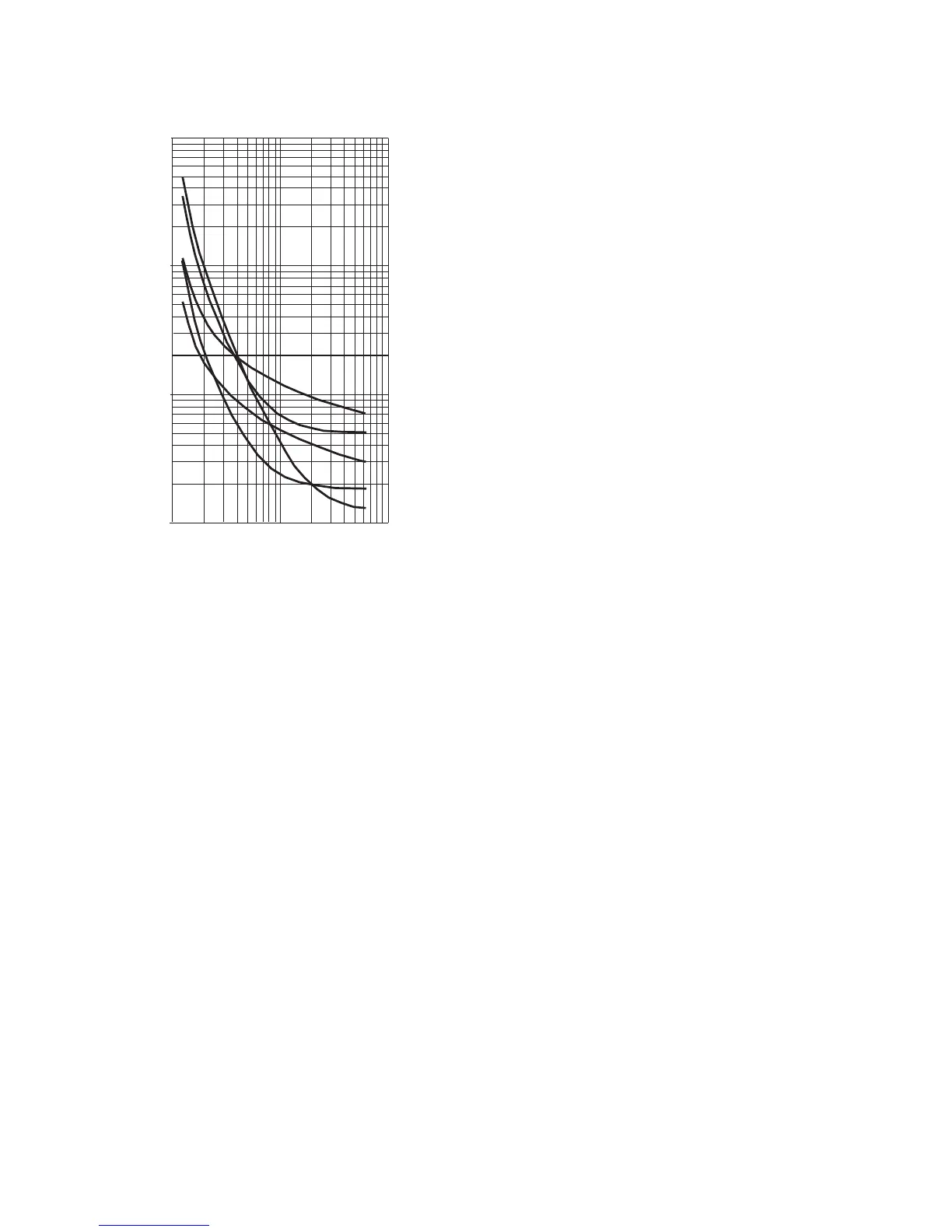
Curve 5 IEEE moderately inverse
Curve 6 IEEE very inverse
Curve 7 IEEE extremely inverse
Curve 8 US inverse
Curve 9 US short time inverse
Amercian Curves
Curve 5
100.010.01.0
Current (Multiples of Is)
0.1
1
10
100
Operating Time (s)
Curve 6
Curve 9
Curve 7
Curve 8
P2137ENa
NPS Overcurrent
2>1 Status: Disabled/Enabled
2>1 Direction:
Non-Directional
Directional Fwd
Directional Rev
2> Current Set: 0.08…4.00n
2> Time Delay: 0.00…100.00s
2>2/3/4 as for 2>1
2> VTS Block:
Bit 0 = VTS Blocks 2>1
Bit 1 = VTS Blocks 2>2
Bit 2 = VTS Blocks 2>3
Bit 3 = VTS Blocks 2>4
Bits 4, 5, 6 & 7 are not used
Binary function link string, selecting which
NPS overcurrent elements (stages 1 to 4)
will be blocked if VTS detection of fuse
failure occurs.
2> V2pol Set:
0.5…25.0 (100V 120V)
2…100V (380/480V)
2> Char Angle: -95…+95
Thermal Overload
Thermal: Disabled/Enabled
Thermal I>: 0.50…2.50 In
Thermal Alarm: 20..100%
T-heating: 1…200 minutes
T-cooling: 1…200 minutes
M Factor: 0…10
The thermal time characteristic is given by:
t = loge (eq
2
- P
2
)/(eq
2
- (Thermal >)
2
)
t = . loge ((K
2
-A
2
)/(K
2
-1))
Where:
K = eq/Thermal >
A = P/Thermal >
t = Time to trip, following application of the
overload current,
= Heating time constant of the protected
plant
eq
= Equivalent current
Thermal > = Relay setting current
P
= Steady state pre-load current
before application of the
overload
eq
= (
1
2
+ M
2
2
)
1 = Positive sequence current
2 = Negative sequence current
M = A user settable constant
proportional to the thermal
capacity of the machine
Earth Fault
IN1>1 Function:
Disabled
DT
IEC S Inverse
IEC V Inverse
IEC E Inverse
UK LT Inverse
RI
IEEE M Inverse
IEEE V Inverse
IEEE E Inverse
US Inverse
US ST Inverse
IDG
IN1>1 Directional
Non-Directional
Directional Fwd
Directional Rev
IN1>1 Current Set: 0.08…4.00 In
IN1>1 IDG Is: 1.0…4.0 In
IN1>1 Time Delay: 0.00…200.00s
IN1>1 TMS: 0.025…1.200
IN1>1 Time Dial: 0.01…100.00
IN1>1 K(RI): 0.10….10.00
IN1>1 IDG Time: 1.00...2.00
IN1>1 Reset Char.: DT/Inverse
IN1>1 tRESET: 0.00…100.00s
IN1>2 as IN>1
IN1>3 Status:
Disabled
Enabled
IN1>3 Directional:

Related product manuals