EasyManua.ls Logo

MicroCal VP-ITC - Page 72

MicroCal VP-ITC
93 pages
Print Icon
To Next Page IconTo Next Page
To Next Page IconTo Next Page
To Previous Page IconTo Previous Page
To Previous Page IconTo Previous Page
Loading...
VP-ITC MicroCalorimeter User’s Manual
right you will notice a Divide by Factor of 1000 (which is normally used to convert from cal to
kcal). Edit to put a 1 in the factor text box, rather than 1000, and click OK.
Now the data set is plotted in terms of
µcal on the Y-axis versus a number
proportional to injection number on the
X-axis. You may compare your results
with those shown here. The scatter of
your points from a straight line should
not be much worse than these. (You
may obtain a linear regression fit of
your data by selecting Math : Linear
Regression from Origin’s main menu
bar). If you have already been through
the tutorial guide for ITC Data
Analysis in Origin, then you may wish
to integrate all of your peaks one-by-
one, rather than rely on the automatic
integration procedure, and this will
probably reduce scatter.
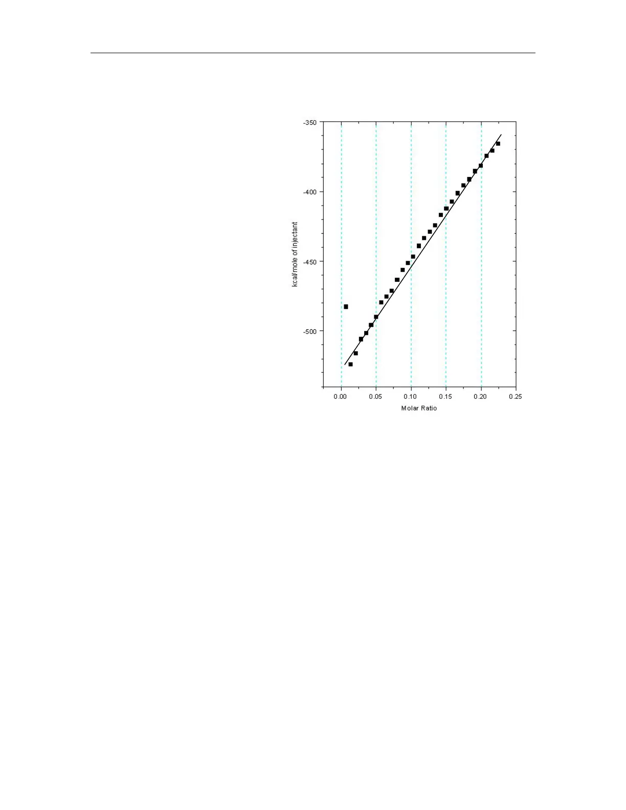
Again, as a gauge of your success you
may compare your results to the plot
shown. While the methanol dilution
experiment, in general, is not a test of
the instrument’s y-axis calibration (due
to differences in methanol
concentrations as well as the volatility
of methanol itself), one can expect to receive similar heats. Most important is the linearity of the
peak heights and areas.
Conclusion
If the data you obtained using 2.5% methanol looks considerably worse than the sample data we
have provided for comparison, then you should go back to the beginning of this tutorial and
repeat it. Perhaps you might want to read the Troubleshooting section first.
If you are satisfied with your methanol dilution data, then you may want to move on to real
binding experiments.
62

Table of Contents