EasyManua.ls Logo

Midea MOAB30-12HFN8-QRD0GW - Page 156

Midea MOAB30-12HFN8-QRD0GW
172 pages
Print Icon
To Next Page IconTo Next Page
To Next Page IconTo Next Page
To Previous Page IconTo Previous Page
To Previous Page IconTo Previous Page
Loading...
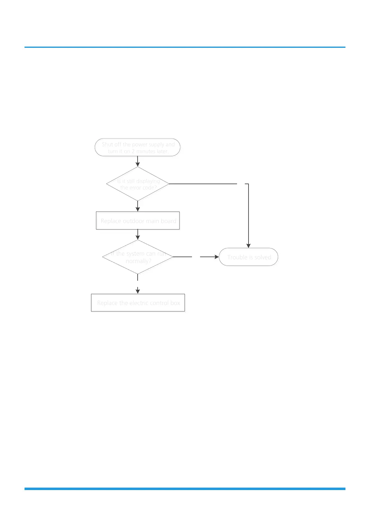
TS33: Communication err
or between outdoor main chip and compressor driven chip
T
roubleshooting
diagnosis and solution
Description: The main chip cannot detect the compressor driven chip
Recommended parts to prepare:
Outdoor main PCB
Electric control box
Troubleshooting and repair:
Replace the electric control box
Replace the electric control box
Trouble is solved
Trouble is solved
YES
Shut off the power supply and
turn it on 2 minutes later.
Shut off the power supply and
turn it on 2 minutes later.
Is it still displaying
the error code?
Is it still displaying
the error code?
NO
Replace outdoor main board
Replace outdoor main board
If the system can run
normally?
If the system can run
normally?
NO

Table of Contents

Related product manuals