EasyManua.ls Logo

Midea RSJ-200/SZN1-540V1 - Page 67

Midea RSJ-200/SZN1-540V1
91 pages
Print Icon
To Next Page IconTo Next Page
To Next Page IconTo Next Page
To Previous Page IconTo Previous Page
To Previous Page IconTo Previous Page
Loading...
Midea R410A Direct Heating Type HPWH 50Hz Technical Manual MCAC-HTSM-201906
67
4.4 Troubleshooting
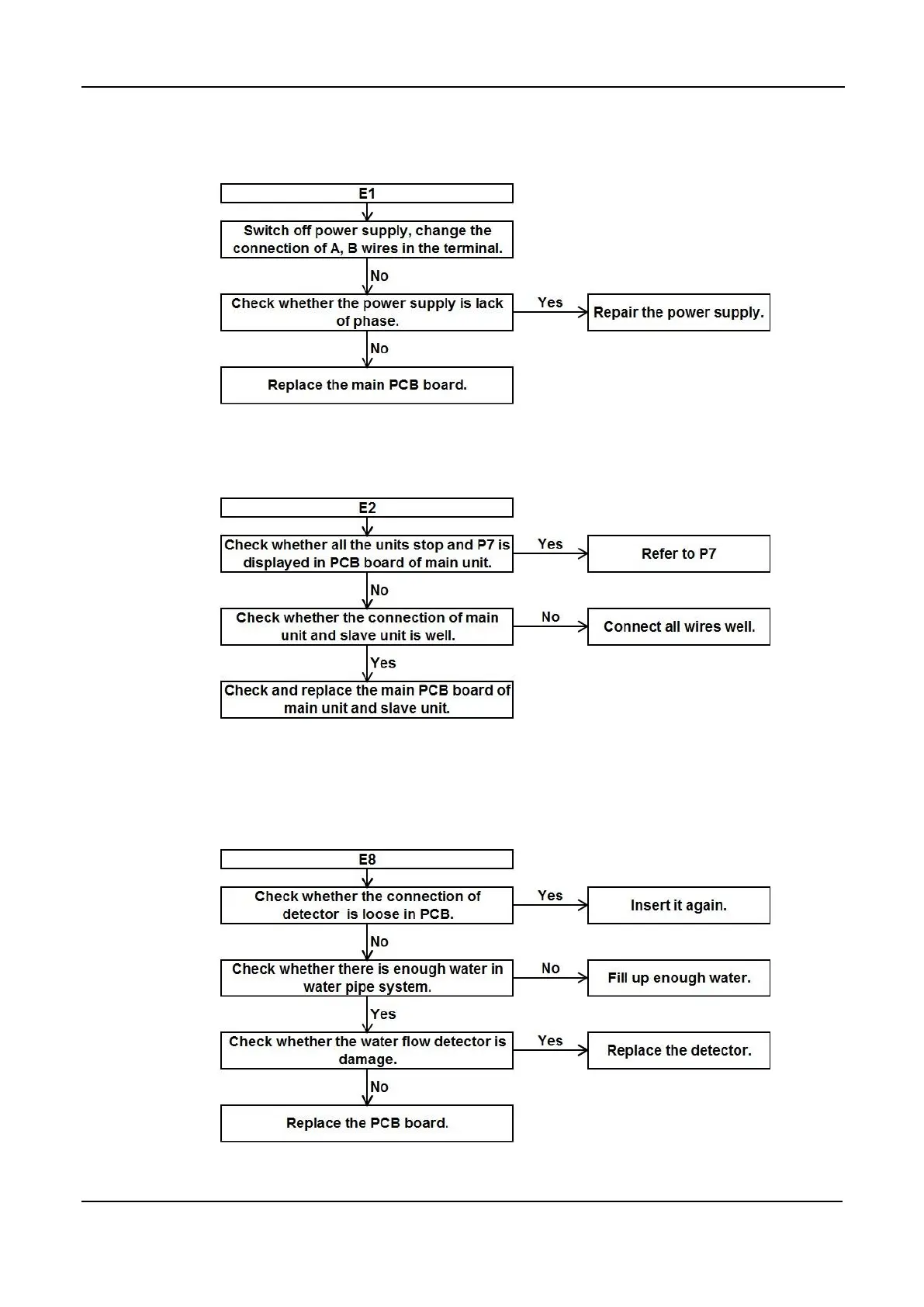
E1: Power phase sequence error
E2: Communication error of host unit and wired controller, main unit and slave unit.
E8: Error of circulating water flow detector (only host unit displays). The water flow switch is detected once then
circulate pump is on; E8 appears when water flow switch cant be detected for 5s.
Midea CAC Confidential

Related product manuals