EasyManua.ls Logo

Milltronics Accumass BW100 - Page 47

Milltronics Accumass BW100
84 pages
Print Icon
To Next Page IconTo Next Page
To Next Page IconTo Next Page
To Previous Page IconTo Previous Page
To Previous Page IconTo Previous Page
Loading...
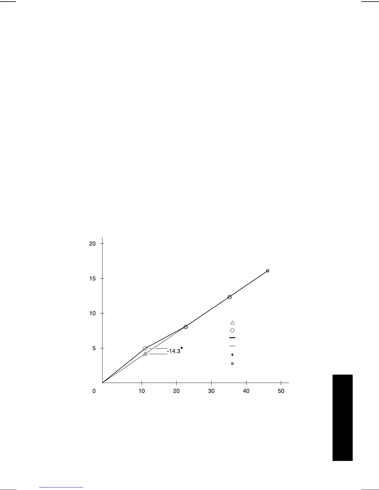
Program the BW100 as follows: P390 = 1
P391 = 11.6
P392 = - 14.3
P393 = 23.2
P394 = 10.5
P395 = 34.7
P396 = - 8
Often only one point of compensation is required, usually at a low load value. In the
prior example, if compensation was only required at 11.6 kg/m, the programming
could be as follows. Compensation is optimized by establishing the next load value
that agrees with the material test, hence where compensation is zero and entering it
as the next compensation point.
P390 = 1
P391 = 11.6
P392 = - 14.3
P393 = 23.2
P394 = 0
P395 = 34.7
P396 = 0
actual weight per material test
totalized weight by BW100
belt scale response
linearized BW100 response
% compensation
span (100%)
load - kg / m
weight = tonnes
RECALIBRATION
PL-531 47