EasyManua.ls Logo

MOGlabs FSC100 - Page 28

MOGlabs FSC100
40 pages
Print Icon
To Next Page IconTo Next Page
To Next Page IconTo Next Page
To Previous Page IconTo Previous Page
To Previous Page IconTo Previous Page
Loading...
24 Chapter 3. Operation
Ideally the spectrum analyser would be used with an independent
frequency discriminator that is insensitive to laser power fluctua-
tions [11]. Good results can be achieved by monitoring the in-loop
error signal but an out-of-loop measurement is preferable, such as
measuring the cavity transmission in a PDH application. To ana-
lyse the error signal, connect the spectrum analyser to one of the
MONITOR outputs set to FAST ERR.
High-bandwidth locking typically involves first achieving a stable
lock using only the fast servo, and then using the slow servo to
improve the long-term lock stability. The slow servo is required
to compensate for thermal drift and acoustic perturbations, which
would result in a mode-hop if compensated with current alone. In
contrast, simple locking techniques such as saturated absorption
spectroscopy are typically achieved using the slow servo, with the
fast servo compensating higher-frequency fluctuations only. It may
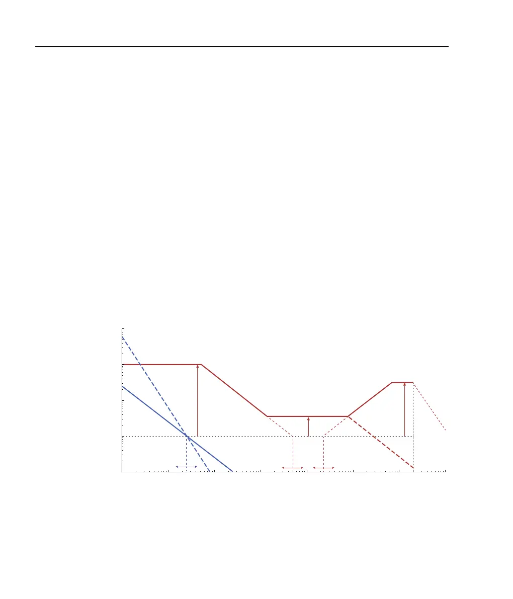
be beneficial to consult the Bode plot (figure 3.3) when interpreting
the error signal spectrum.
Gain (dB)
20
0
40
60
–20
10
2
10
1
10
3
10
4
10
5
10
6
10
7
Fourier frequency [Hz]
Integrator
Double integrator
Proportional
High freq. cuto
Dierentiator
Integrator
10
8
FAST LF GAIN (limit)
FAST
GAIN
DIFF GAIN (limit)
FAST INT
FAST DIFF
SLOW INT
Filter
Figure 3.3: Conceptual Bode plot showing action of the fast (red) and slow
(blue) controllers. The corner frequencies and gain limits are adjusted with
the front-panel knobs as labelled.