EasyManua.ls Logo

Motorola GM338

Motorola GM338
556 pages
To Next Page IconTo Next Page
To Next Page IconTo Next Page
To Previous Page IconTo Previous Page
To Previous Page IconTo Previous Page
Loading...
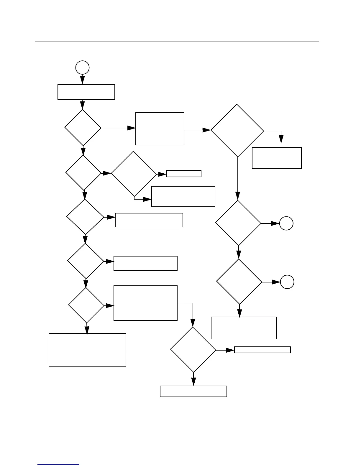
3-2 Troubleshooting Flow Chart for Receiver
1.1 Troubleshooting Flow Chart for Receiver (Sheet 2 of 2)
IF Signal at
C3101?
No
RF
Signal at
T4051?
RF
Signal at
C4015?
No
No
RF
Signal at
C4025?
No or
Check harmonic filter
L4491-L4493, C4492, J4401
and ant. switch
D4471, D4472, L4472.
Check filter between
C4025 & C4009.
Check tuning voltage
at R4060.
Inject RF into J4401
Is
tuning voltage
OK?
No
Yes
Check RF amp (Q4003)
Stage.
Check filter between
C4015 & T4051.
Yes
Check T4051, T4052,
D4051, R4052, L4008.
Yes
1st LO level
OK?
Locked?
Yes
Check FGU
Yes
Trace IF signal
from C3101 to
Q3101. Check for
bad XTAL filter.
No
Yes
IF
signal at Q3102
collector?
Before replacing
U3101, check
U3101 voltages.
Yes
Check for
5VDC
Is 9V3
present?
Check Supply Voltage
circuitry. Check Q0681,
U4211 and U0641.
No
No
No
Check U4501.
Check varactor filter.
No
Yes
Yes
Yes
A
A
B
weak RF
RF
Signal at
C4009?

Table of Contents

Related product manuals