EasyManua.ls Logo

Motorola GM380

Motorola GM380
32 pages
To Next Page IconTo Next Page
To Next Page IconTo Next Page
To Previous Page IconTo Previous Page
To Previous Page IconTo Previous Page
Loading...
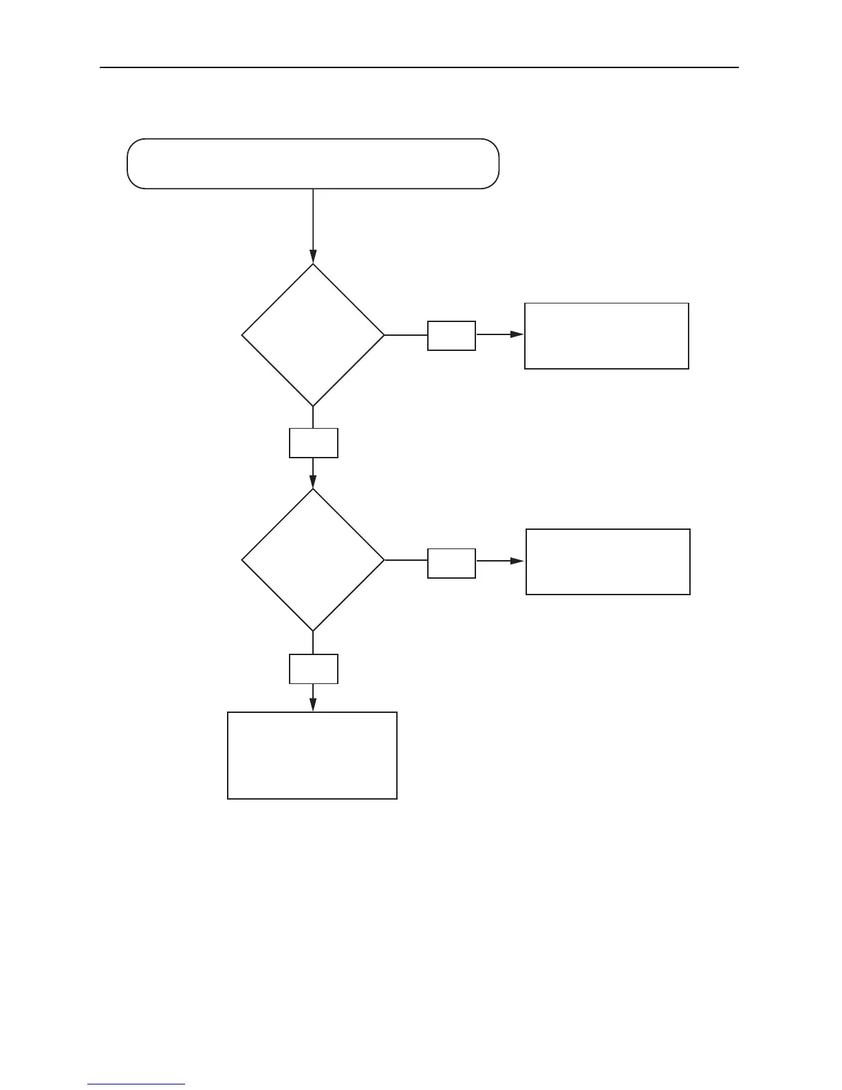
3-10 TROUBLESHOOTING CHARTS
3.4 Display
TP0973
Voltage Sense
between
2V and 2.4V
?
Activity on
Address & Data lines
A0 / D0...D7 / CS1
of U0971
?
NO
YES
YES
NO
Check / Replace
Flex connection
Resistors on Address & Data
lines and LCD Module
Check / Replace
LCD Module
Check for shortage
U0871
Power Up Alert Tone is audible, volume knob does operate,
indicator/backlight is on but nothing is seen on the display.

Other manuals for Motorola GM380

Related product manuals