EasyManua.ls Logo

Motorola GM380

Motorola GM380
32 pages
To Next Page IconTo Next Page
To Next Page IconTo Next Page
To Previous Page IconTo Previous Page
To Previous Page IconTo Previous Page
Loading...
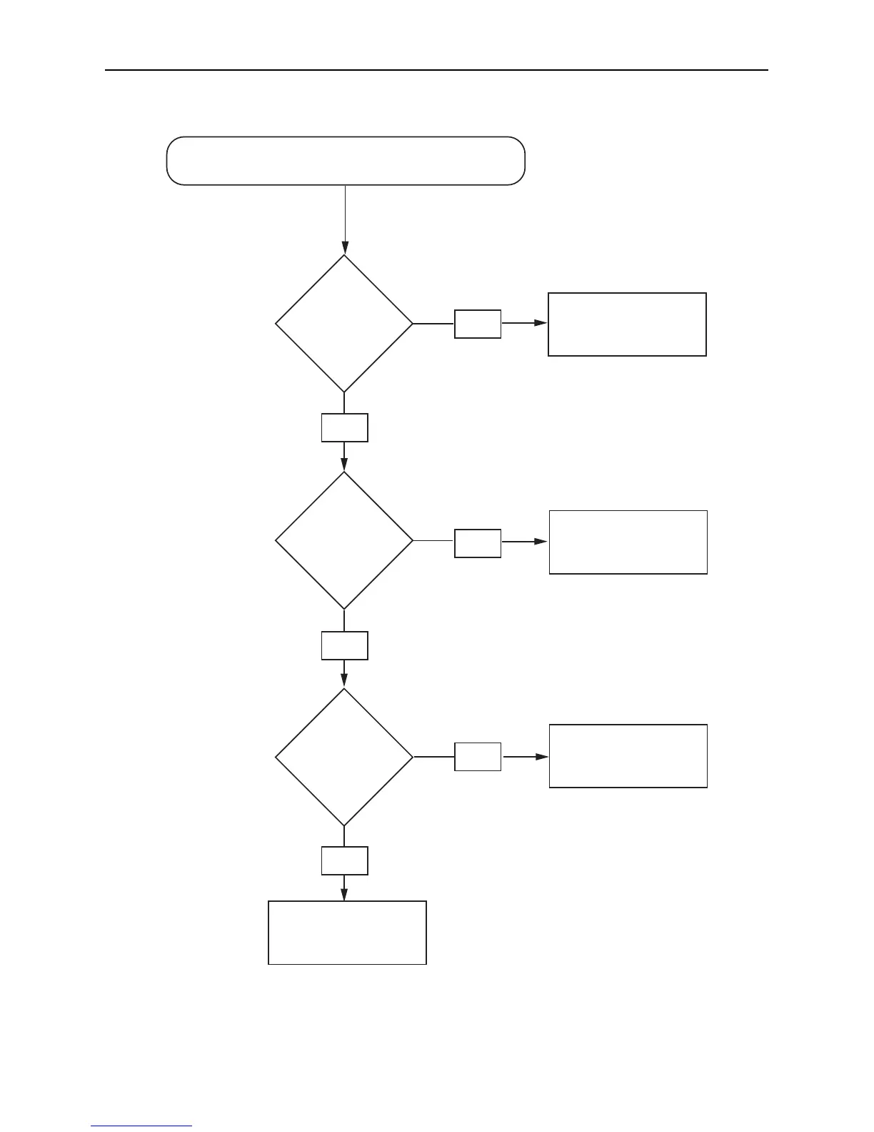
Controlhead GM380/1280 Troubleshooting Flow Chart 3-11
3.5 Keypad Backlight
U0871 Pin 25
is toggling ?
Base of Q0943
> 0.7V ?
Collector of
Q0943
>5V & < 11V
?
Check / Replace
Q0941 / R0955 / R0957
YES
YES
YES
NO
NO
NO
Check / Replace
Q0943 / U0941 / R0941
R0943 / R0949 / R0951
Check for shortage
U0871
Check / Replace
R0945 / C0943 / R0947
Power Up Alert Tone is audible, volume knob does operate,
display is on but no keypad backlight.

Other manuals for Motorola GM380

Related product manuals