EasyManua.ls Logo

Motorola P100 Series - Page 280

Motorola P100 Series
336 pages
To Next Page IconTo Next Page
To Next Page IconTo Next Page
To Previous Page IconTo Previous Page
To Previous Page IconTo Previous Page
Loading...
13-26 Circuit Board/Schematic Diagram and Parts List (UHF1: 403–447 MHz)
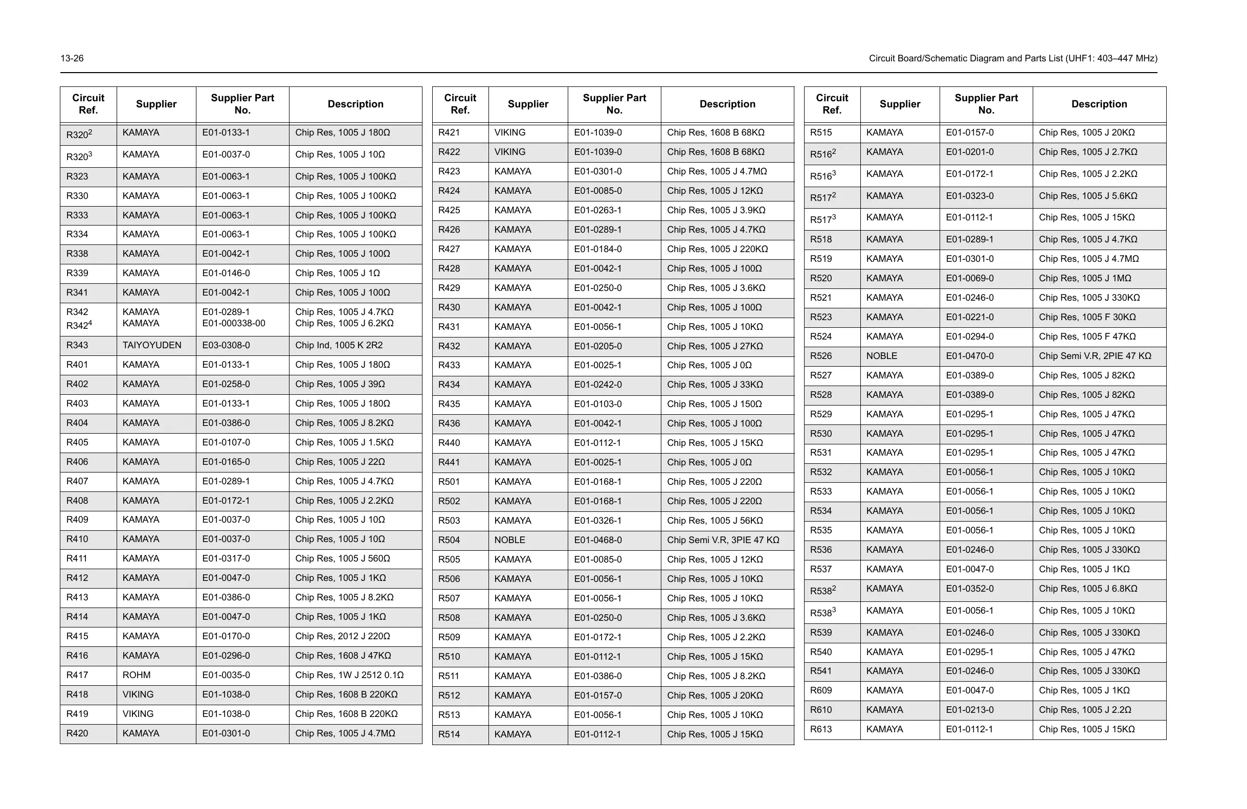
R320
2
KAMAYA E01-0133-1 Chip Res, 1005 J 180
R320
3
KAMAYA E01-0037-0 Chip Res, 1005 J 10
R323 KAMAYA E01-0063-1 Chip Res, 1005 J 100K
R330 KAMAYA E01-0063-1 Chip Res, 1005 J 100K
R333 KAMAYA E01-0063-1 Chip Res, 1005 J 100K
R334 KAMAYA E01-0063-1 Chip Res, 1005 J 100K
R338 KAMAYA E01-0042-1 Chip Res, 1005 J 100
R339 KAMAYA E01-0146-0 Chip Res, 1005 J 1
R341 KAMAYA E01-0042-1 Chip Res, 1005 J 100
R342
R342
4
KAMAYA
KAMAYA
E01-0289-1
E01-000338-00
Chip Res, 1005 J 4.7K
Chip Res, 1005 J 6.2K
R343 TAIYOYUDEN E03-0308-0 Chip Ind, 1005 K 2R2
R401 KAMAYA E01-0133-1 Chip Res, 1005 J 180
R402 KAMAYA E01-0258-0 Chip Res, 1005 J 39
R403 KAMAYA E01-0133-1 Chip Res, 1005 J 180
R404 KAMAYA E01-0386-0 Chip Res, 1005 J 8.2K
R405 KAMAYA E01-0107-0 Chip Res, 1005 J 1.5K
R406 KAMAYA E01-0165-0 Chip Res, 1005 J 22
R407 KAMAYA E01-0289-1 Chip Res, 1005 J 4.7K
R408 KAMAYA E01-0172-1 Chip Res, 1005 J 2.2K
R409 KAMAYA E01-0037-0 Chip Res, 1005 J 10
R410 KAMAYA E01-0037-0 Chip Res, 1005 J 10
R411 KAMAYA E01-0317-0 Chip Res, 1005 J 560
R412 KAMAYA E01-0047-0 Chip Res, 1005 J 1K
R413 KAMAYA E01-0386-0 Chip Res, 1005 J 8.2K
R414 KAMAYA E01-0047-0 Chip Res, 1005 J 1K
R415 KAMAYA E01-0170-0 Chip Res, 2012 J 220
R416 KAMAYA E01-0296-0 Chip Res, 1608 J 47K
R417 ROHM E01-0035-0 Chip Res, 1W J 2512 0.1
R418 VIKING E01-1038-0 Chip Res, 1608 B 220K
R419 VIKING E01-1038-0 Chip Res, 1608 B 220K
R420 KAMAYA E01-0301-0 Chip Res, 1005 J 4.7M
Circuit
Ref.
Supplier
Supplier Part
No.
Description
R421 VIKING E01-1039-0 Chip Res, 1608 B 68K
R422 VIKING E01-1039-0 Chip Res, 1608 B 68K
R423 KAMAYA E01-0301-0 Chip Res, 1005 J 4.7M
R424 KAMAYA E01-0085-0 Chip Res, 1005 J 12K
R425 KAMAYA E01-0263-1 Chip Res, 1005 J 3.9K
R426 KAMAYA E01-0289-1 Chip Res, 1005 J 4.7K
R427 KAMAYA E01-0184-0 Chip Res, 1005 J 220K
R428 KAMAYA E01-0042-1 Chip Res, 1005 J 100
R429 KAMAYA E01-0250-0 Chip Res, 1005 J 3.6K
R430 KAMAYA E01-0042-1 Chip Res, 1005 J 100
R431 KAMAYA E01-0056-1 Chip Res, 1005 J 10K
R432 KAMAYA E01-0205-0 Chip Res, 1005 J 27K
R433 KAMAYA E01-0025-1 Chip Res, 1005 J 0
R434 KAMAYA E01-0242-0 Chip Res, 1005 J 33K
R435 KAMAYA E01-0103-0 Chip Res, 1005 J 150
R436 KAMAYA E01-0042-1 Chip Res, 1005 J 100
R440 KAMAYA E01-0112-1 Chip Res, 1005 J 15K
R441 KAMAYA E01-0025-1 Chip Res, 1005 J 0
R501 KAMAYA E01-0168-1 Chip Res, 1005 J 220
R502 KAMAYA E01-0168-1 Chip Res, 1005 J 220
R503 KAMAYA E01-0326-1 Chip Res, 1005 J 56K
R504 NOBLE E01-0468-0 Chip Semi V.R, 3PIE 47 K
R505 KAMAYA E01-0085-0 Chip Res, 1005 J 12K
R506 KAMAYA E01-0056-1 Chip Res, 1005 J 10K
R507 KAMAYA E01-0056-1 Chip Res, 1005 J 10K
R508 KAMAYA E01-0250-0 Chip Res, 1005 J 3.6K
R509 KAMAYA E01-0172-1 Chip Res, 1005 J 2.2K
R510 KAMAYA E01-0112-1 Chip Res, 1005 J 15K
R511 KAMAYA E01-0386-0 Chip Res, 1005 J 8.2K
R512 KAMAYA E01-0157-0 Chip Res, 1005 J 20K
R513 KAMAYA E01-0056-1 Chip Res, 1005 J 10K
R514 KAMAYA E01-0112-1 Chip Res, 1005 J 15K
Circuit
Ref.
Supplier
Supplier Part
No.
Description
R515 KAMAYA E01-0157-0 Chip Res, 1005 J 20K
R516
2
KAMAYA E01-0201-0 Chip Res, 1005 J 2.7K
R516
3
KAMAYA E01-0172-1 Chip Res, 1005 J 2.2K
R517
2
KAMAYA E01-0323-0 Chip Res, 1005 J 5.6K
R517
3
KAMAYA E01-0112-1 Chip Res, 1005 J 15K
R518 KAMAYA E01-0289-1 Chip Res, 1005 J 4.7K
R519 KAMAYA E01-0301-0 Chip Res, 1005 J 4.7M
R520 KAMAYA E01-0069-0 Chip Res, 1005 J 1M
R521 KAMAYA E01-0246-0 Chip Res, 1005 J 330K
R523 KAMAYA E01-0221-0 Chip Res, 1005 F 30K
R524 KAMAYA E01-0294-0 Chip Res, 1005 F 47K
R526 NOBLE E01-0470-0 Chip Semi V.R, 2PIE 47 K
R527 KAMAYA E01-0389-0 Chip Res, 1005 J 82K
R528 KAMAYA E01-0389-0 Chip Res, 1005 J 82K
R529 KAMAYA E01-0295-1 Chip Res, 1005 J 47K
R530 KAMAYA E01-0295-1 Chip Res, 1005 J 47K
R531 KAMAYA E01-0295-1 Chip Res, 1005 J 47K
R532 KAMAYA E01-0056-1 Chip Res, 1005 J 10K
R533 KAMAYA E01-0056-1 Chip Res, 1005 J 10K
R534 KAMAYA E01-0056-1 Chip Res, 1005 J 10K
R535 KAMAYA E01-0056-1 Chip Res, 1005 J 10K
R536 KAMAYA E01-0246-0 Chip Res, 1005 J 330K
R537 KAMAYA E01-0047-0 Chip Res, 1005 J 1K
R538
2
KAMAYA E01-0352-0 Chip Res, 1005 J 6.8K
R538
3
KAMAYA E01-0056-1 Chip Res, 1005 J 10K
R539 KAMAYA E01-0246-0 Chip Res, 1005 J 330K
R540 KAMAYA E01-0295-1 Chip Res, 1005 J 47K
R541 KAMAYA E01-0246-0 Chip Res, 1005 J 330K
R609 KAMAYA E01-0047-0 Chip Res, 1005 J 1K
R610 KAMAYA E01-0213-0 Chip Res, 1005 J 2.2
R613 KAMAYA E01-0112-1 Chip Res, 1005 J 15K
Circuit
Ref.
Supplier
Supplier Part
No.
Description
All manuals and user guides at all-guides.com

Table of Contents

Other manuals for Motorola P100 Series

Related product manuals