EasyManua.ls Logo

mycom 160VLD - Page 41

Default Icon
161 pages
Print Icon
To Next Page IconTo Next Page
To Next Page IconTo Next Page
To Previous Page IconTo Previous Page
To Previous Page IconTo Previous Page
Loading...
2205Q2JE-HO-S6-N_2020.01.
Chapter 2 Compressor Specifications and Structure
SCV-series Screw Compressor 2.4 Compressor Structure and Mechanism
2-19
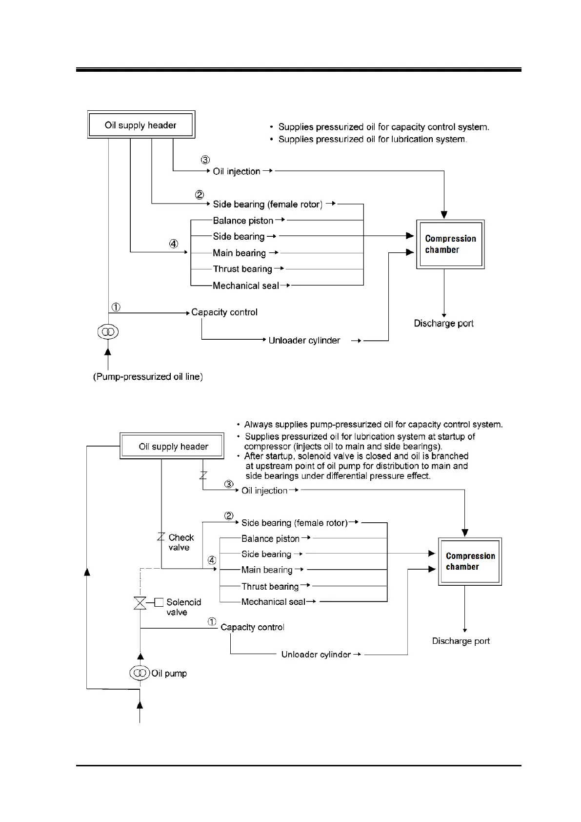
Figure 2-14 Oil Supply Route of Forced Oil Supply System
Figure 2-15 Oil Supply Route of Differential Pressure Oil Supply System

Table of Contents

Related product manuals