EasyManua.ls Logo

NUM 1060 W - 6.3 No Movement in Automatic Mode

Default Icon
388 pages
Print Icon
To Next Page IconTo Next Page
To Next Page IconTo Next Page
To Previous Page IconTo Previous Page
To Previous Page IconTo Previous Page
Loading...
6 - 8 en-938821/2
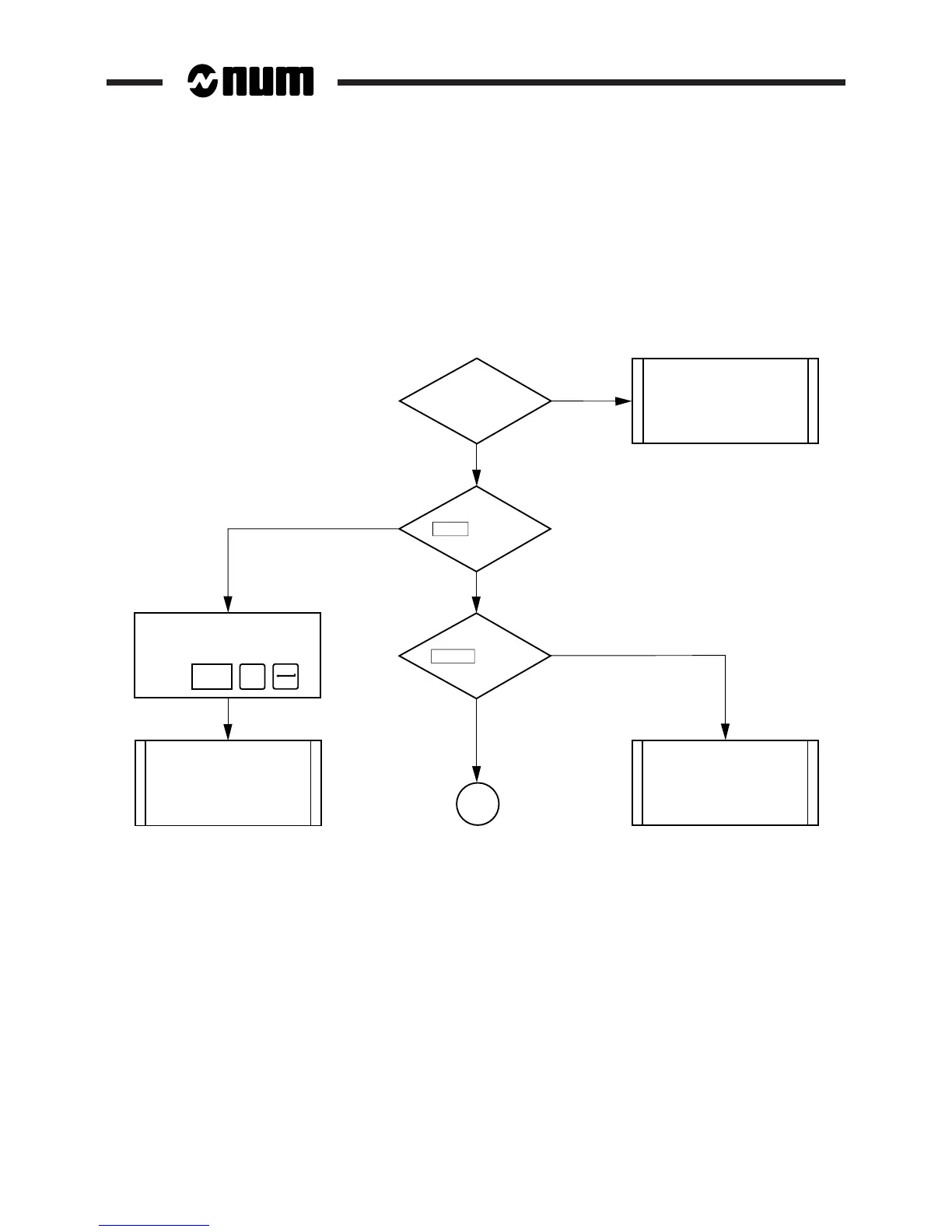
6.3 No Movement in Automatic Mode
Failure symptoms
Any machining mode selected.
No movement generated.
Trouble-shooting
Intervention procedure
after machining stop
(CYHLD).
Refer to the manufacturer's
manual for the
procedure to follow.
Rotate the feed
potentiometer.
Is the rate
override potentiometer
set to zero
?
1
Yes
No
Yes
Yes
No
No
Display the message on page
"OPERATOR MESSAGES"
Is the
MSG indicator
displayed
?
Is the
CYHLD
indicator
displayed
?
PLC
I/O
)
0

Table of Contents

Related product manuals