EasyManua.ls Logo

Omron R88D-KT30F - Page 545

Omron R88D-KT30F
634 pages
To Next Page IconTo Next Page
To Next Page IconTo Next Page
To Previous Page IconTo Previous Page
To Previous Page IconTo Previous Page
Loading...
10-2
10-1 Gain Adjustment
OMNUC G5-SERIES AC SERVOMOTOR AND SERVO DRIVE USER'S MANUAL
10
Adjustment Functions
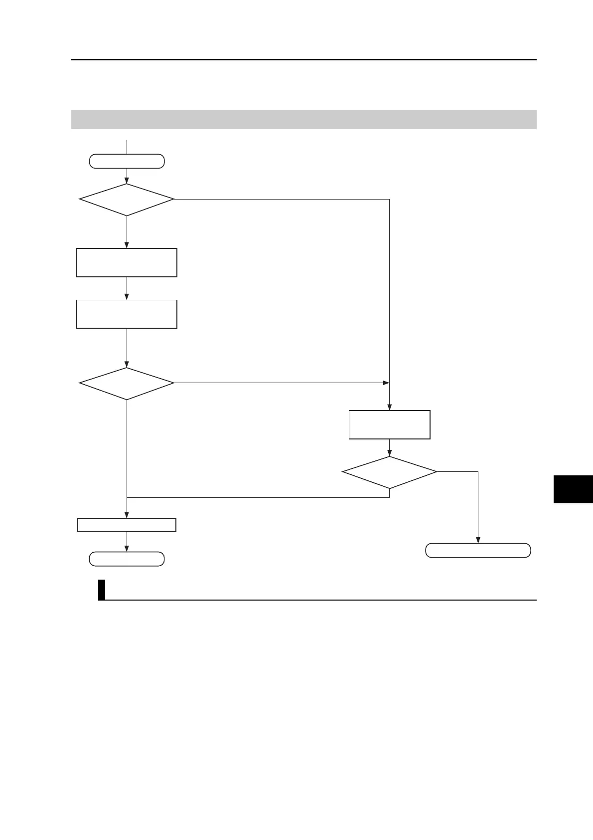
Gain Adjustment Procedure
Gain Adjustment and Machine Rigidity
To improve machine rigidity:
Install the machine on a secure base so that it does not have any play.
Use couplings that have a high rigidity, and that are designed for servo systems.
Use a wide timing belt. And use a tension within the range of allowable axial load for the motor or
Decelerator output.
Use gears with small backlash.
The specific vibration (resonance frequencies) of the mechanical system has a large impact on
the gain adjustment of the servo. The servo system responsiveness cannot be set high for
machines with a low resonance frequency (low machine rigidity).
Start adjustment.
Automatic
adjustment?
Operation OK?
Ye s
Ye s
No
Operation OK?
Ye s
No
No
Realtime autotuning
Realtime
autotuning setting
Manual tuning
Adjustment completed.
Write to EEPROM.
Consult OMRON.
(Default setting)

Table of Contents

Related product manuals