EasyManua.ls Logo

Orbit OSP0043 - Muscle Toning

Orbit OSP0043
12 pages
Print Icon
To Next Page IconTo Next Page
To Next Page IconTo Next Page
To Previous Page IconTo Previous Page
To Previous Page IconTo Previous Page
Loading...
10
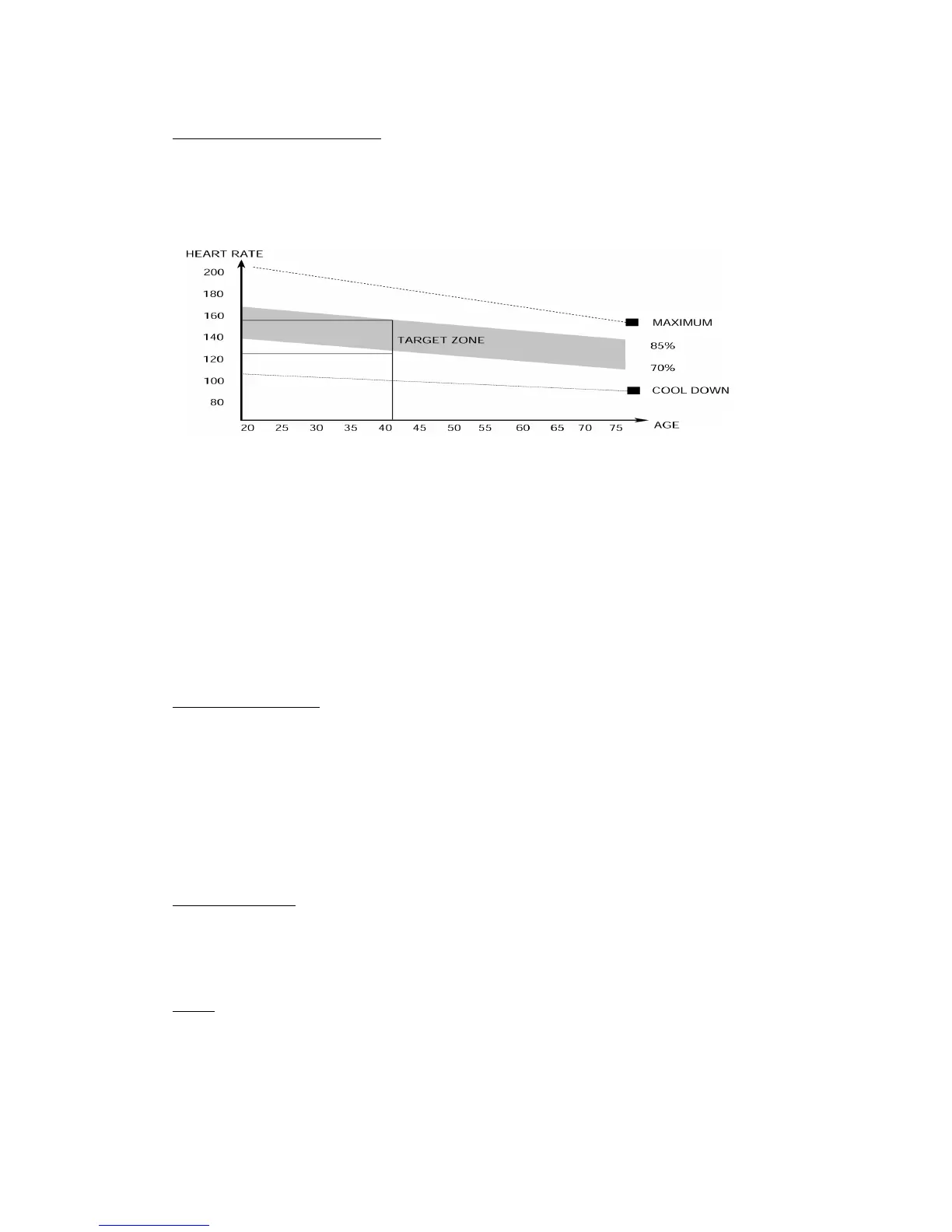
2.The Exercise Phase
This is the stage where you put the effort in. After regular use , the muscles in
your legs will become Stronger. Work to your but it is very important to maintain a
steady tempo throughout. The rate of work should be sufficient to raise your heart
beat into the target zone shown on the graph below.
This stage is to let your Cardio-vascular System and muscles wind down. This is a
repeat of the warm up exercise e.g. reduce your tempo, continue for approximately 5
minutes. The stretching exercises should now be repeated, again remembering not to
force or jerk your muscles into the stretch.
As you get fitter you may need to train longer and harder. It is advisable to train at
least three times a week, and if possible space your workouts evenly throughout the
week.
MUSCLE TONING
To tone muscle while on your SPINNING BIKE you will need to have the
resistance set quite high. This will put more strain on our leg muscles and may mean
you cannot train for as long as you would like. If you are also trying to improve your
fitness you need to alter your training program. You should train as normal during the
warm up and cool down phases, but towards the end of the exercise phase you
should increase resistance, making your legs work harden than normal. You may
have to reduce your speed to keep your heart rate in the target zone.
WEIGHT LOSS
The important factor here is the amount of effort you put in. The harder and longer
you work the more calories you will burn. Effectively this is the same as if you were
training to improve your fitness, the difference is the goal.
USE
The tension control knob allows you to alter the resistance of the pedals. A high
resistance makes it more difficult to pedal, a low resistance makes it easier. For the
best results set the tension while the bike is in use.
This stage should last for a minimum of 12 minutes for most people
start at about 15-20 minutes

Related product manuals