EasyManua.ls Logo

Oricom DTX4200 - UHF CB Channels and Frequencies

Oricom DTX4200
34 pages
Print Icon
To Next Page IconTo Next Page
To Next Page IconTo Next Page
To Previous Page IconTo Previous Page
To Previous Page IconTo Previous Page
Loading...
27
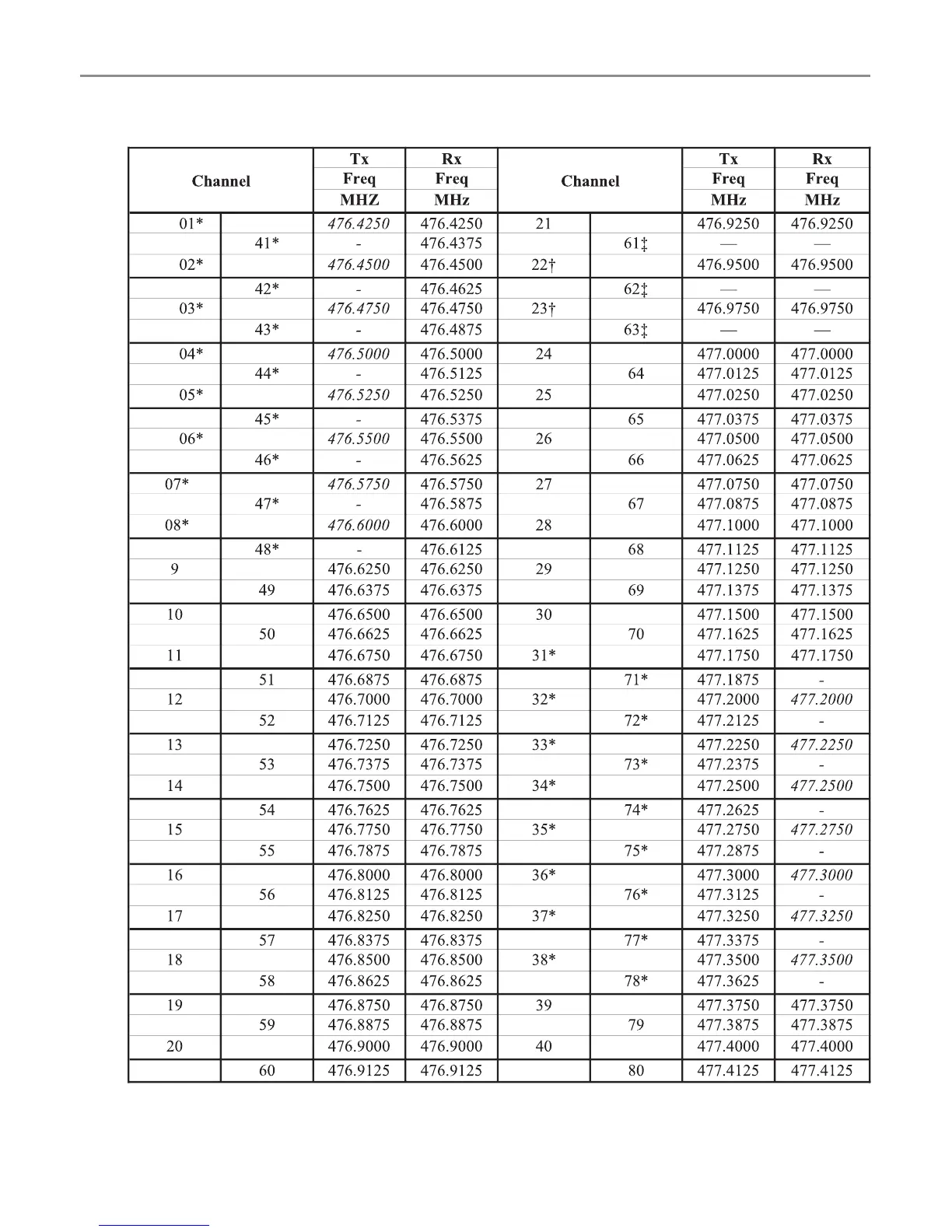
UHF CB channels and frequencies
UHF CB channels and frequencies

Related product manuals