EasyManua.ls Logo

Panasonic CS-PS36RKV

Panasonic CS-PS36RKV
71 pages
To Next Page IconTo Next Page
To Next Page IconTo Next Page
To Previous Page IconTo Previous Page
To Previous Page IconTo Previous Page
Loading...
69
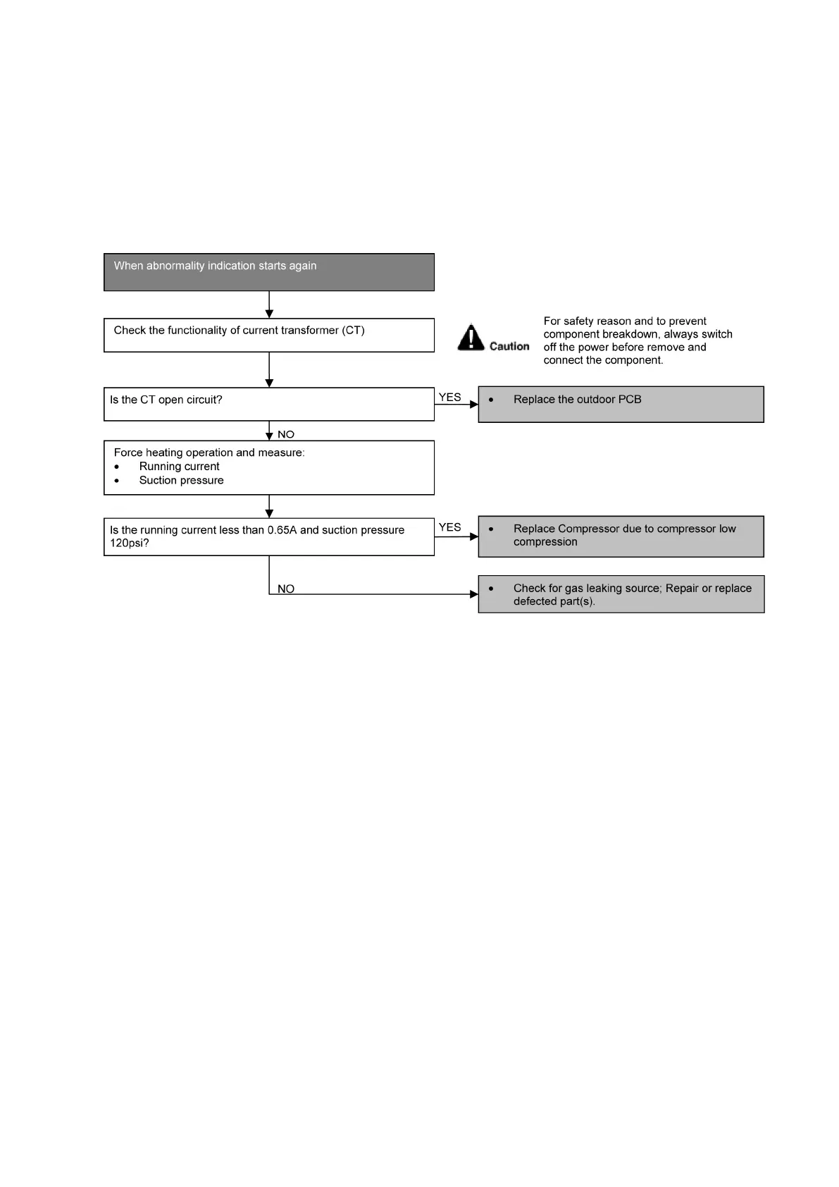
14.4.5 H16 (Outdoor Current Transformer Open Circuit)
Malfunction Decision Conditions
A current transformer (CT) is detected by checking the compressor running frequency ( rated frequency) and
CT detected input current (less than 1.14A) for continuously 20 seconds.
Malfunction Caused
CT defective
Outdoor PCB defective
Compressor defective (low compression)
Troubleshooting
44

Table of Contents

Other manuals for Panasonic CS-PS36RKV

Related product manuals