EasyManua.ls Logo

Panasonic CS-PW12DKE

Panasonic CS-PW12DKE
64 pages
To Next Page IconTo Next Page
To Next Page IconTo Next Page
To Previous Page IconTo Previous Page
To Previous Page IconTo Previous Page
Loading...
CS/CU-PW9DKE








230V
17
16
15
14
13
1.00
0.95
0.90
0.85
3.0
2.8
2.6
2.4
2.2
6.0
5.0
4.0
3.0
Cooling characteristics
56
I: Current (A)
Q: Cooling capacity (kW)
LP: Gas side piping
pressure (Mpa)
22XWOHWDLUWHPS
Outdoor temp( )
[Condition] Room temp: 27/19
Cooling operation:at high speed
Piping length:7.5m
CS-PW9DKE / CU-PW9DKE / CS-PW12DKE / CU-PW12DKE
Operation characteristics
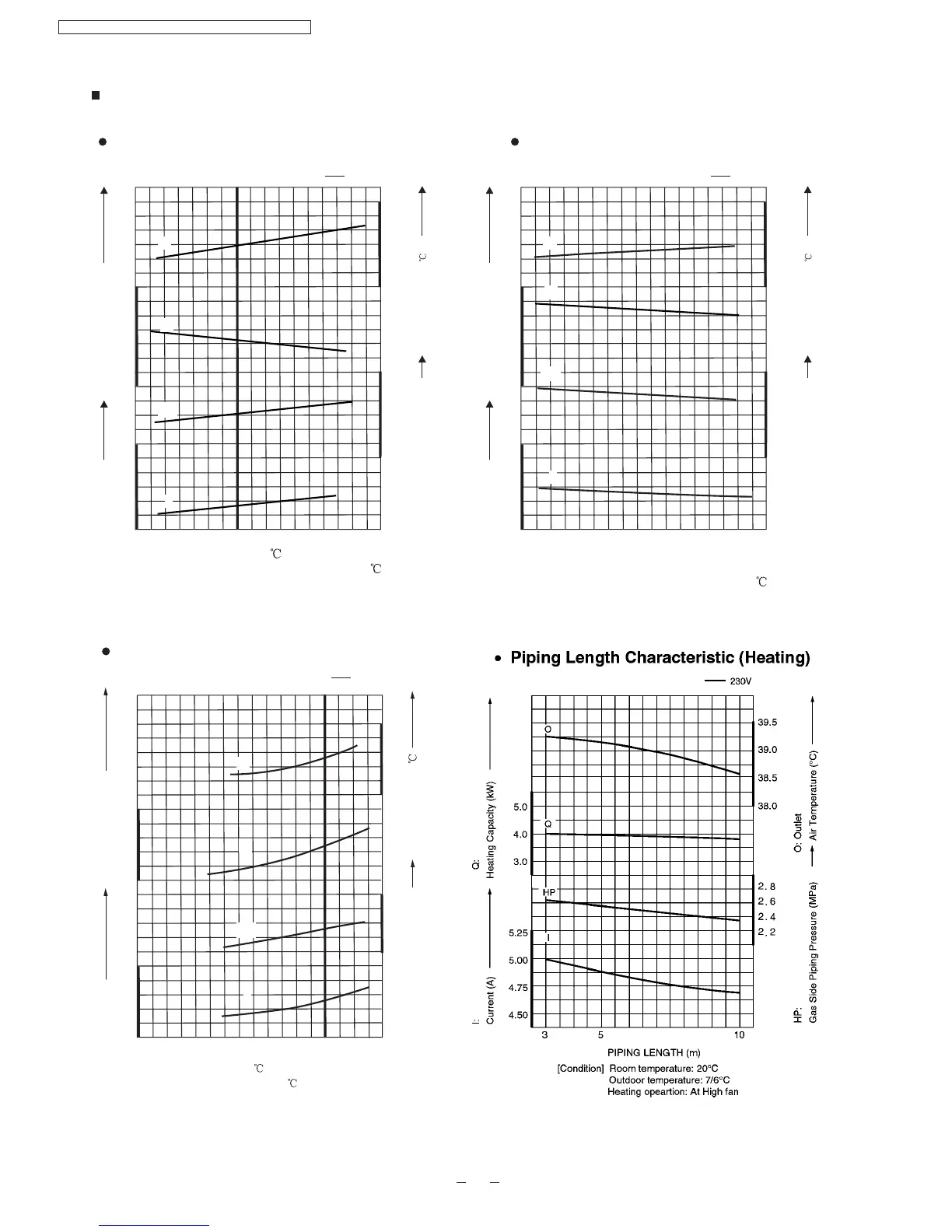
Piping Length Characteristics
4
5
6789
10
230V
16
15
14
1.05
1.00
0.95
0.90
0.85
2.8
2.6
2.4
2.2
5.0
4.0
3.0
I: Current (A)
Q: Cooling capacity (kW)
LP: Gas side piping
pressure (Mpa)
O:Outlet air temp(
PIPING LENGTH(m)
[Condition] Room temp: 27/19
Cooling operation:at high speed
3
Outdoor temp(
[Condition] Room temp: 20
Heating operation:at high speed
Piping length:7.5m
I: current (A)
Q: Heating capacity (kW)
HP:Gas side piping
Pressure (Mpa)
O:Outlet Air temp(
3.2
3.0
2.8
2.6
5.0
4.0
3.0
2.0
39
38
37
36
3.0
2.8
2.6
-4
0
24
6
10
230V
8
Heating characteristics
O
Q
LP
I
O
Q
LP
I
-2
O
Q
HP
I

Related product manuals