EasyManua.ls Logo

Panasonic CS-TZ60TKEW - Page 114

Panasonic CS-TZ60TKEW
140 pages
To Next Page IconTo Next Page
To Next Page IconTo Next Page
To Previous Page IconTo Previous Page
To Previous Page IconTo Previous Page
Loading...
114
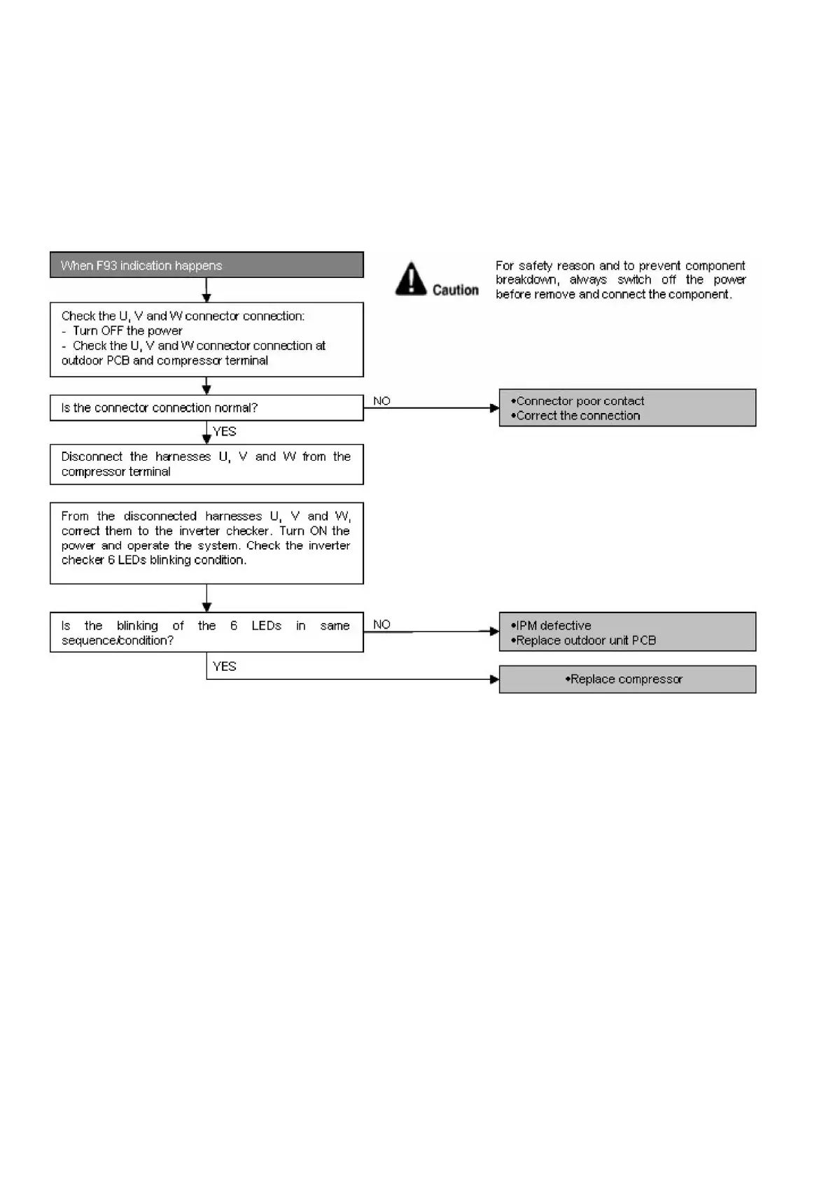
18.4.23 F93 (Compressor Rotation Failure)
Malfunction Decision Conditions
A compressor rotation failure is detected by checking the compressor running condition through the position
detection circuit.
Malfunction Caused
Compressor terminal disconnect
Faulty Outdoor PCB
Faulty compressor
Troubleshooting

Table of Contents

Other manuals for Panasonic CS-TZ60TKEW

Related product manuals