EasyManua.ls Logo

Panasonic CU-B14DBE5 - Page 93

Panasonic CU-B14DBE5
109 pages
Print Icon
To Next Page IconTo Next Page
To Next Page IconTo Next Page
To Previous Page IconTo Previous Page
To Previous Page IconTo Previous Page
Loading...
93
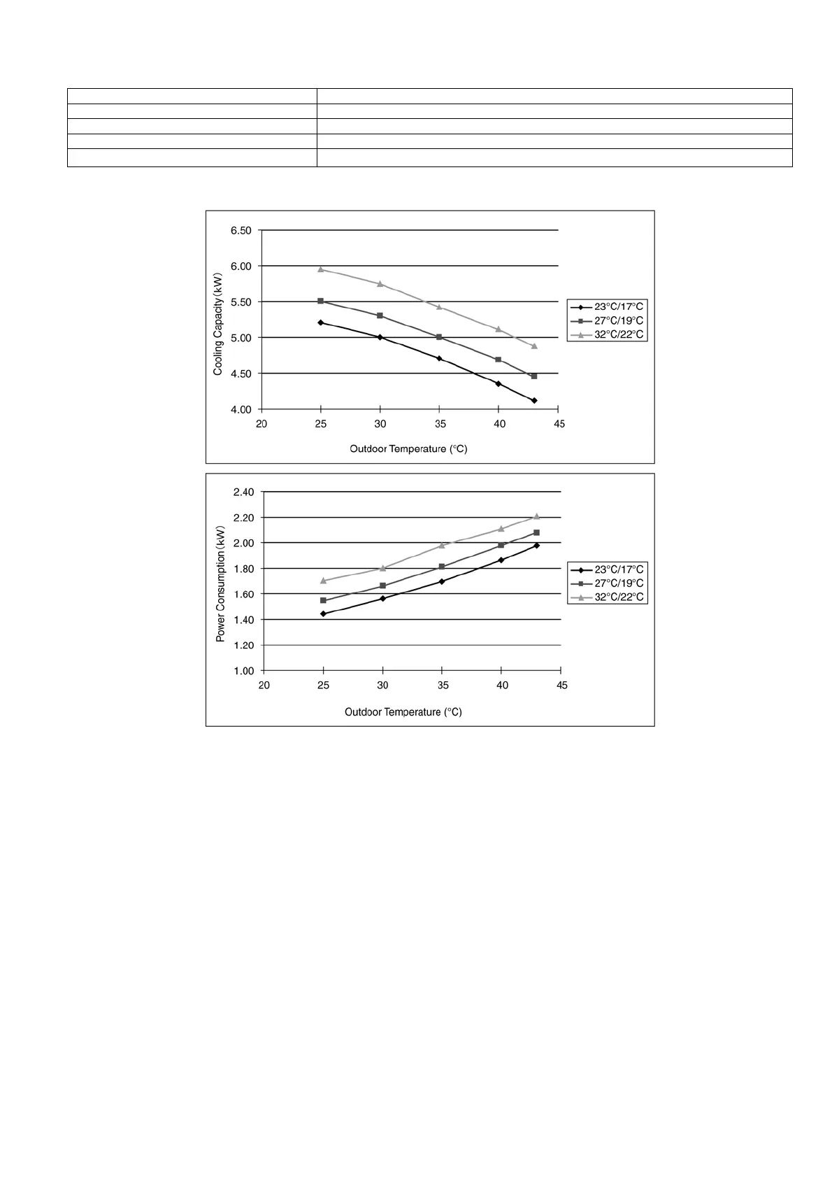
Model Cooling capacities are based on conditions
CS-F18DTE5 Single phase, 50Hz 230V
Cooling capacity Indoor temp. 27°C D.B. 19°C W.B.
5.0kW Outdoor temp. 35°C D.B.
Standard air volume 14 m
3
/min

Table of Contents

Other manuals for Panasonic CU-B14DBE5

Related product manuals