EasyManua.ls Logo

Panasonic CU-E12DKE - Page 81

Panasonic CU-E12DKE
98 pages
Print Icon
To Next Page IconTo Next Page
To Next Page IconTo Next Page
To Previous Page IconTo Previous Page
To Previous Page IconTo Previous Page
Loading...
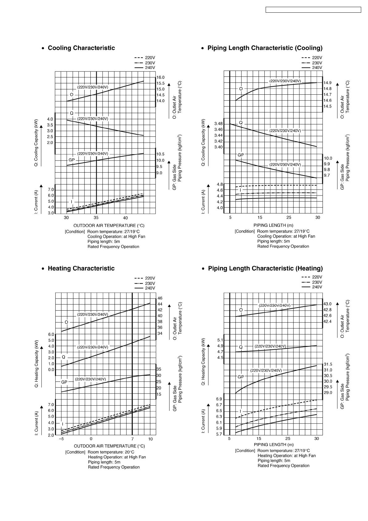
13.1.2. CS-E12DKEW CU-E12DKE
81
CS-E9DKEW CU-E9DKE / CS-E12DKEW CU-E12DKE
This document is protected (secured) by www.nettovarmepumpar.se

Table of Contents

Other manuals for Panasonic CU-E12DKE

Related product manuals