EasyManua.ls Logo

Panasonic CU-S13PKH - H25 (Nanoe-G Air Purifying System Abnormal)

Panasonic CU-S13PKH
187 pages
Print Icon
To Next Page IconTo Next Page
To Next Page IconTo Next Page
To Previous Page IconTo Previous Page
To Previous Page IconTo Previous Page
Loading...
110
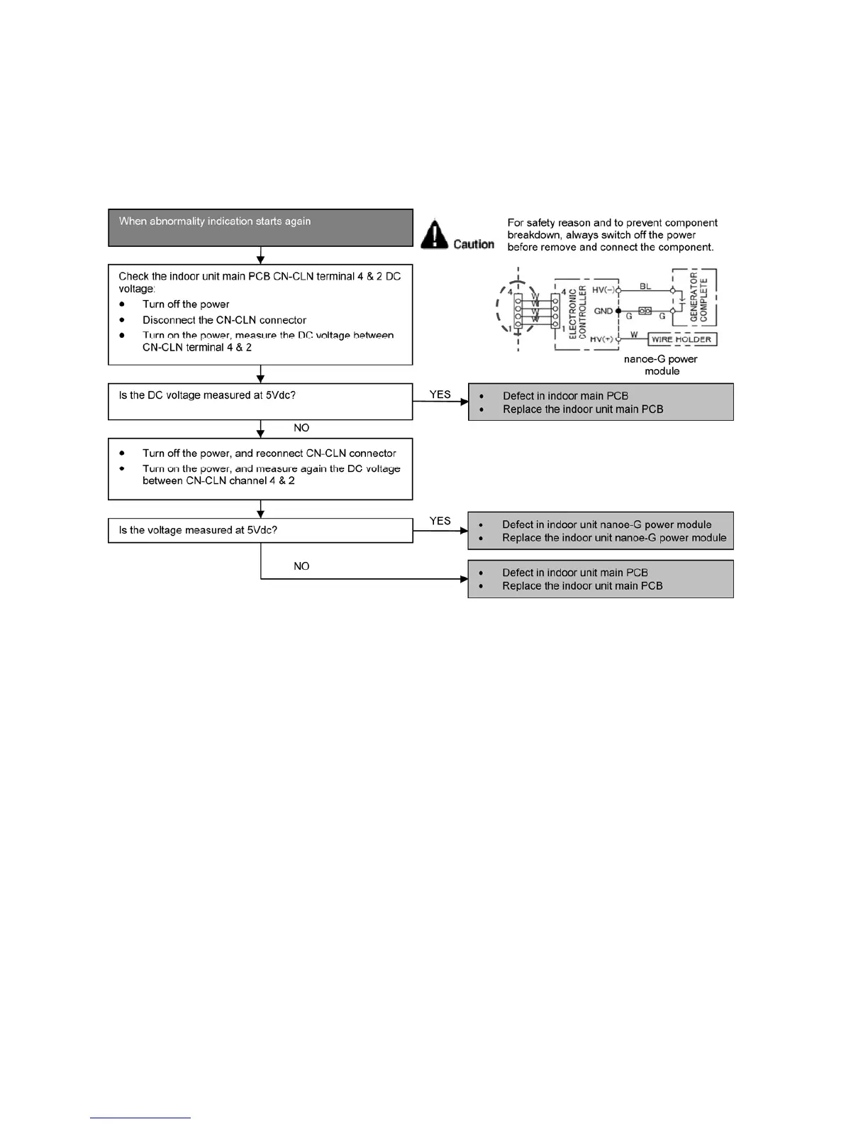
15.4.8 H25 (nanoe-G Air Purifying System Abnormal)
Malfunction Decision Conditions
During standby of cooling operation, nanoe-G breakdown occurs and air conditioner stops operation.
Malfunction Caused
Faulty indoor main PCB.
Faulty indoor nanoe-G power module.
Troubleshooting

Table of Contents

Related product manuals