EasyManua.ls Logo

Panasonic CU-S13PKH - F91 (Refrigeration Cycle Abnormality)

Panasonic CU-S13PKH
187 pages
Print Icon
To Next Page IconTo Next Page
To Next Page IconTo Next Page
To Previous Page IconTo Previous Page
To Previous Page IconTo Previous Page
Loading...
122
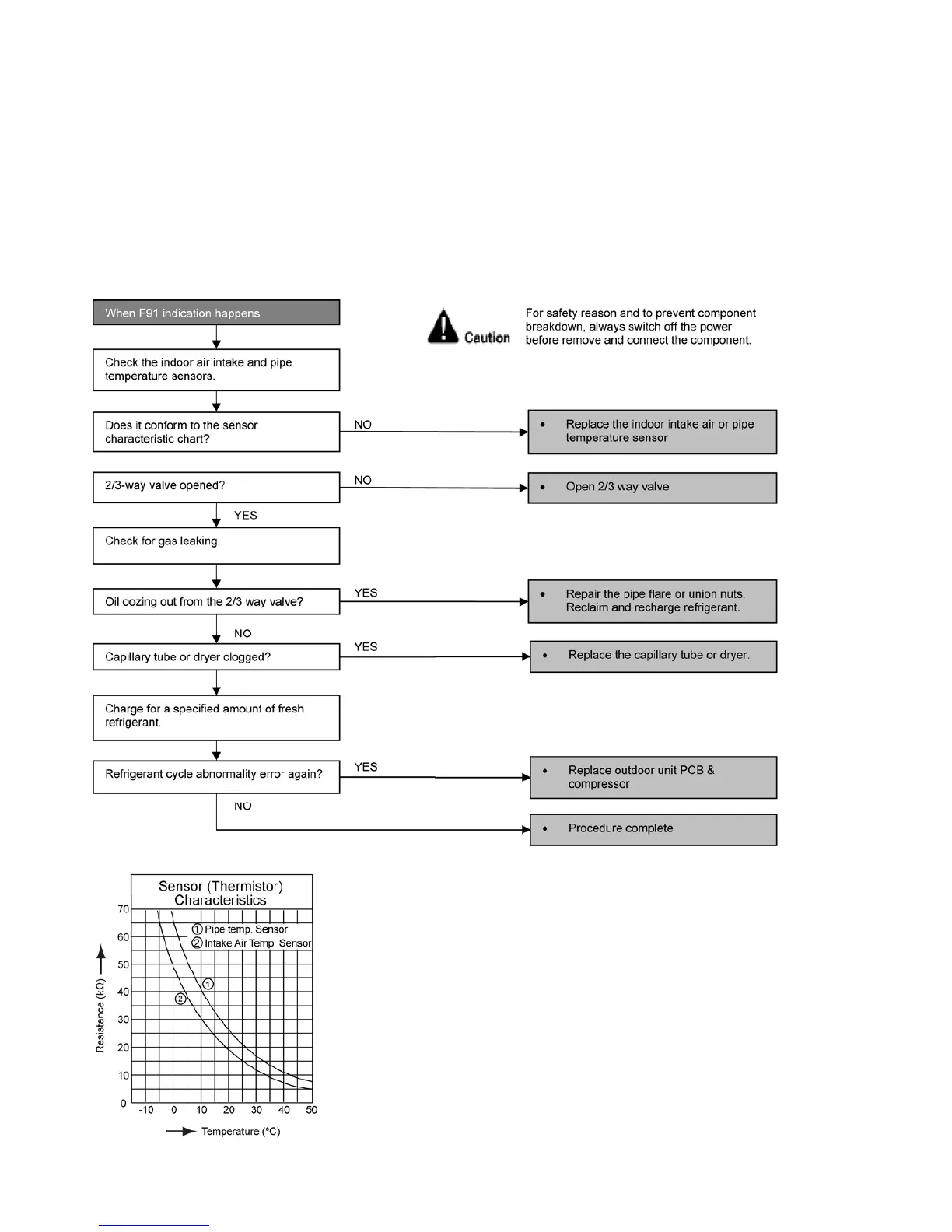
15.4.20 F91 (Refrigeration Cycle Abnormality)
Malfunction Decision Conditions
During cooling, compressor frequency = Fcmax.
During cooling and heating operation, running current: 0.65A < I < 1.65A.
During cooling, indoor intake - indoor pipe < 4°C.
Malfunction Caused
Refrigerant shortage (refrigerant leakage)
Poor compression performance of compressor.
2/3 way valve closed.
Detection error due to faulty indoor intake air or indoor pipe temperature sensors.
Troubleshooting

Table of Contents

Related product manuals