EasyManua.ls Logo

Peiying PY-9398 - Functii Generale

Peiying PY-9398
60 pages
Print Icon
To Next Page IconTo Next Page
To Next Page IconTo Next Page
To Previous Page IconTo Previous Page
To Previous Page IconTo Previous Page
Loading...
50
Manual de utilizare
RO
FUNCTII GENERALE
Pornire/Oprire sistem
Apasati orice buton pentru a porni aparatul. Apasati si tineti apasat butonul PORNIRE pentru
a opri aparatul.
Nota: Dupa oprirea aparatului, nivelul volumului si setarile radio curente vor  memorate, iar la
pornirea aparatului, acesta va relua statusul memorat, pe care l-ati setat.
Deconectare panou frontal
Apasati butonul REL (2) pentru demontarea panoului frontal detasabil.
Reglarea sunetului
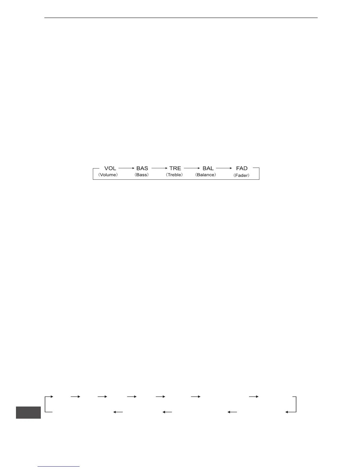
Apasarea butonului (3) poate regla calitatea dorita a volumului.
A) Apasarea butonului SEL (3) va schimba urmatoarea ordine:
Optiuni:
Controlul Volumului/ Selectare
Rotiti acest buton pentru a regla Volumul/Bass/Treb/Bal/Fad. Pentru a selecta functiile, apasati
butonul pentru VOL scurt pana cand functiile dorite apar pe asaj.
Mariti sau micsorati volumul prin rotirea butonului VOL la dreapta sau stanga. Aceste butoane
pot  folosite pentru reglare BASS, TREBLE, BALANCE si FADER.
Bass
Apasati butonul VOL/SEL (3) o data. Reglati nivelul de bass folosind butonul VOL/SEL (3).
Treble
Apasati butonul VOL/SEL (3) de doua ori. Reglati nivelul de inalte (treble) folosind butonul
VOL/SEL (3).
Balans
Apasati butonul SEL (3) de trei ori. Reglati balansul intre difuzoarele stanga si dreapta folosind
butonul VOL/SEL (3).
Fader
Apasati butonul VOL/SEL (3) de patru ori. Reglati balansul dintre difuzoarele din fata si cele
din spate folosind butonul VOL/SEL (3).
Modul SELECTARE MENIU
Apasati butonul VOL/SEL (3) timp de cateva secunde, selectarea meniului este activata ca
si mod ciclic al urmatoarelor functii:
BAS
VOL TRE
BAL
SUB ON/OFF
DSP OFFLOUD OFF/ON
STEREO/MONO DX/LOC MUTE OFF
FAD

Related product manuals