EasyManua.ls Logo

Philips 191EW9FB/00 - Block Diagram; Software Flow Chart

Philips 191EW9FB/00
79 pages
Print Icon
To Next Page IconTo Next Page
To Next Page IconTo Next Page
To Previous Page IconTo Previous Page
To Previous Page IconTo Previous Page
Loading...
HUDSON 9
14
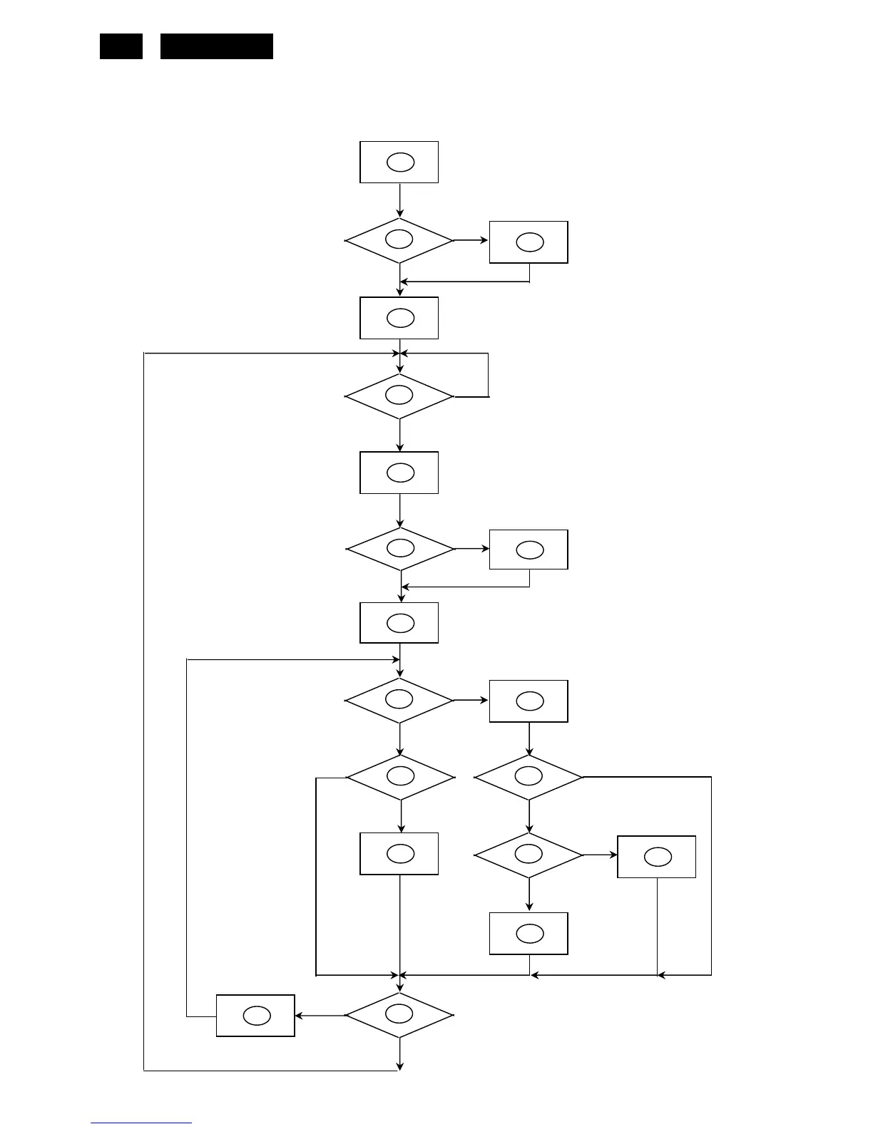
5. Block Diagram
5.1 Software Flow Chat
1
2
N
Y
5
Y
N
10
Y
N
12
Y
N
7
Y
N
6
4
3
8
9
14
11
13
Y
N
15
Y
N
16
17
19
Y
N
18

Table of Contents

Related product manuals