EasyManua.ls Logo

Philips BDP3000 - Video setup; Audio Setup

Philips BDP3000
43 pages
Print Icon
To Next Page IconTo Next Page
To Next Page IconTo Next Page
To Previous Page IconTo Previous Page
To Previous Page IconTo Previous Page
Loading...
No display on VFD, and buttons do not work
No
No
No
Yes
Yes
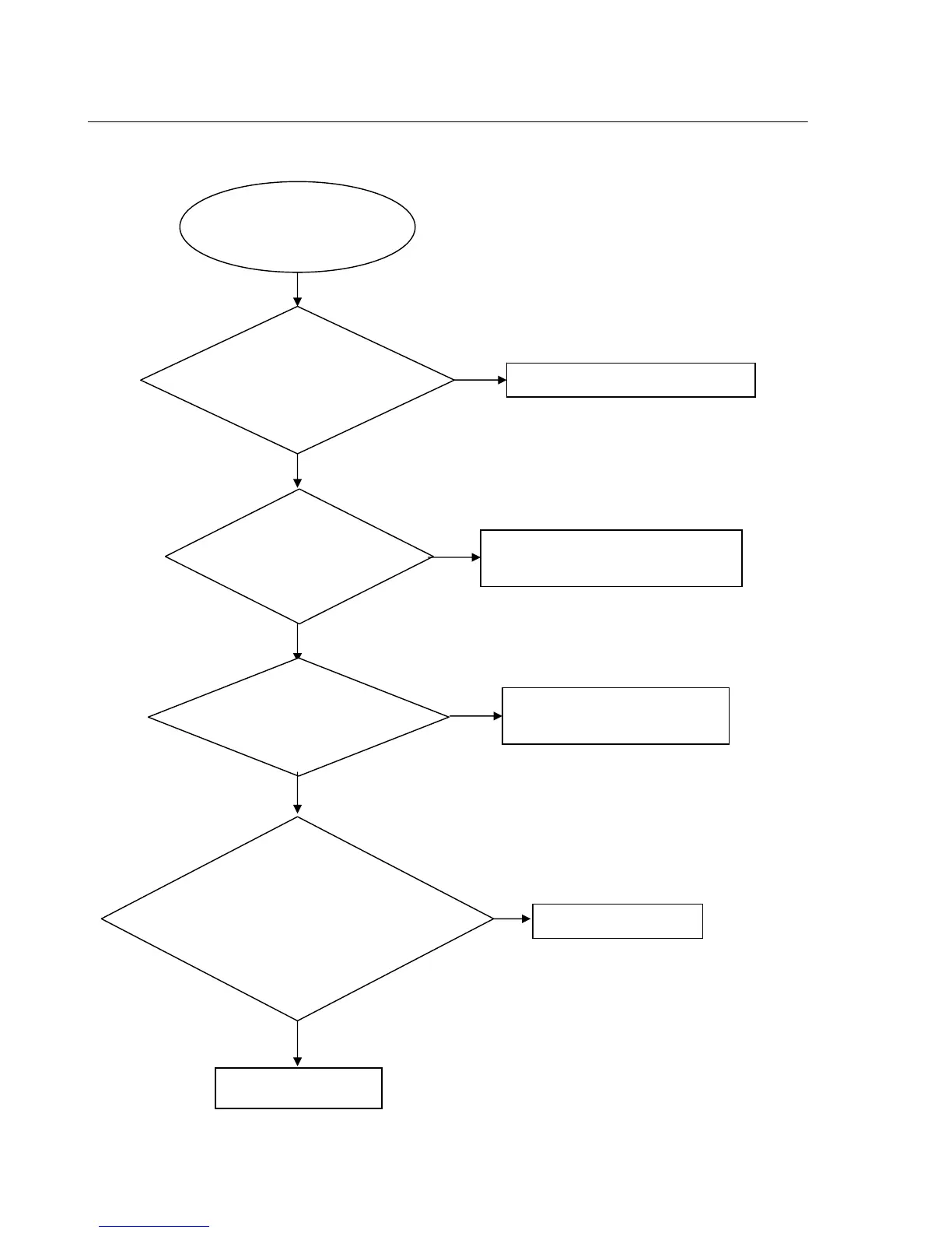
No display on VFD, and
buttons do not work
Check every supply
voltage on main board is
normal
Refer to Power supply board part
Check the U2’s pin 2,4,8 arrive the
U3’s pin 6,8,9 connect condition
Correct connection
Replace U3 or VFD
Yes
Yes
Yes
No
Check-28V,5V,+12V
voltage on the power
and front board
Check the front board
signals SCK,SDA, STB
1.Check whether bad solder exists
on U3 and pins of VFD,
2.Check whether the circuit
connected to K1, K2, K3, K4, K5,
K6 is broken.
Fix the connection JP4 on front board
and XP2 on power board
Trouble shooting chart
5-1

Other manuals for Philips BDP3000

Related product manuals