EasyManua.ls Logo

Philips BDP3000 - Preference Setup

Philips BDP3000
43 pages
Print Icon
To Next Page IconTo Next Page
To Next Page IconTo Next Page
To Previous Page IconTo Previous Page
To Previous Page IconTo Previous Page
Loading...
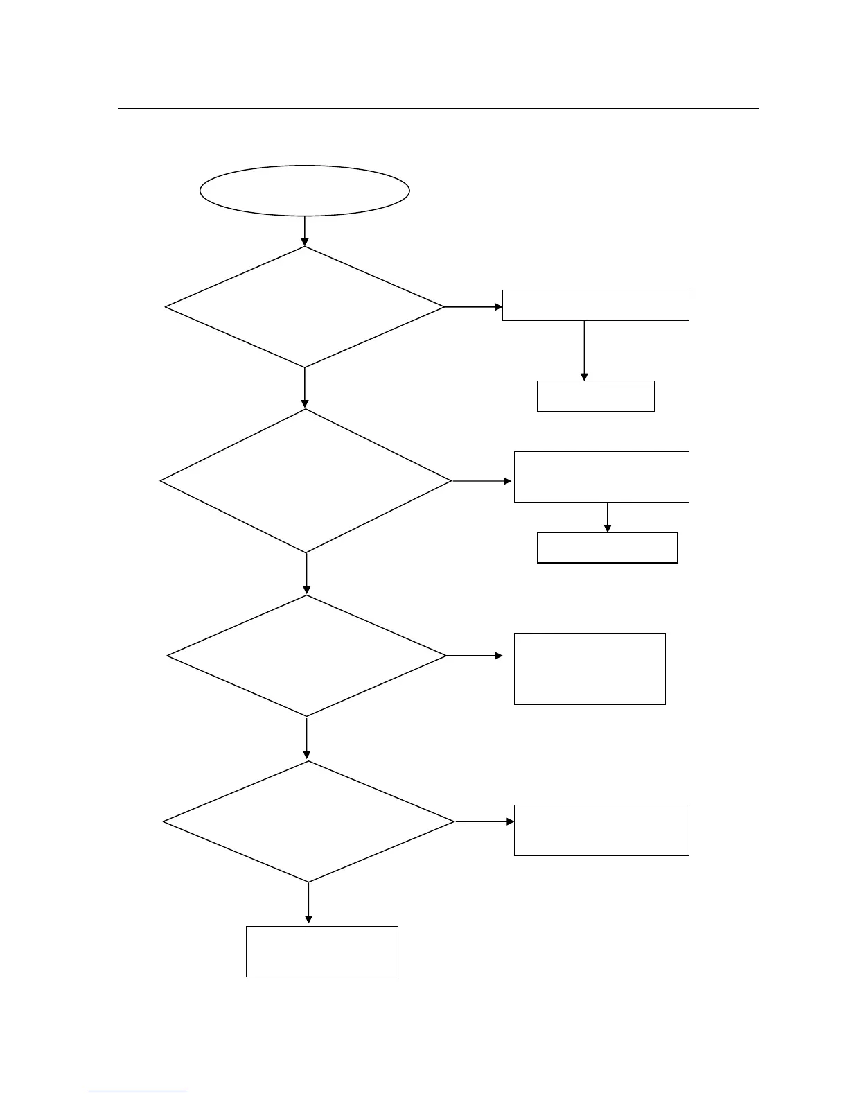
No audio output
Check the U12 power supply
Check the U12 power supply
(U17.4=-12V and U17.8=12V)
Check whether the audio
signal is right from the
U11.7 and U11.1
Check the connection of
the 6PIN cable from
CON3 on the main board
Connect the 6pin cable to
JP2 properly on output
board
solder the FB9 or FB11
properly
Yes
Yes
No
Go
Check whether the audio signal
is right from the U12.44 and
U12.45
No audio output
No
Yes
Trouble shooting chart
5-2
Replace the U12
Replace the U17
Yes
NO
NO
Check whether the
FB11and FB9 solder is
OK on out
ut board
Replace the output
board
Yes

Other manuals for Philips BDP3000

Related product manuals